Data Science | Machinelearning [ru] – Telegram
Data Science | Machinelearning [ru]
20.2K subscribers
673 photos
41 videos
29 files
3.56K links
Все о Data Science, машинном обучении и искусственном интеллекте: от базовой теории до cutting-edge исследований и LLM.

По вопросам рекламы или разработки - @g_abashkin

РКН: https://vk.cc/cJPGXD
Download Telegram
​​🚀Как оптимизировать процесс привлечения клиентов B2B с помощью методов Продвинутой Аналитики

В этой статье мы поделимся примером первого практического применения Продвинутой Аналитики в процессах стратегического бизнес-планирования численности ресурсов Сети для привлечения клиентов Юридических Лиц.

Читать...
​​Хотите разобраться в языковых моделях? Учитесь у профессионалов и получайте знания из первых рук — на интенсиве GPT Week Школы анализа данных Яндекса!  

Эксперты ШАДа, разрабатывающие YandexGPT, подготовили насыщенную 5-дневную программу. Вы узнаете, как запустить генеративную модель на ограниченных ресурсах, какие вызовы есть в сборе гигантских датасетов и в чём особенности предобучения и alignment. Каждый участник сможет задать вопросы спикерам, а также познакомиться с устройством YandexGPT — от деталей создания до сложных инженерных аспектов. 

Что ещё нужно знать? Интенсив пройдёт онлайн с 27 ноября по 1 декабря. Участие бесплатное, но потребуется регистрация. Записаться и посмотреть программу можно на сайте.

Реклама. ООО «Яндекс», ИНН 7736207543.
​​🧠OpenAI GPTs: пошаговое руководство для создания с практическими примерами, ACTIONS и внешние API

В этой статье я расскажу как создавать кастомные GPTs под конкретные задачи и приведу примеры практических реализаций.

Читать...
​​👾ChatGPT плохо отвечает на «простые вопросы». Как это починить?

В этой статье я расскажу о нашей последней работе — Multilingual Triple Match — системе для поиска ответов на фактологические вопросы, которая по своей точности обходит даже ChatGPT.

Читать...
​​🧐Обучение с подкреплением: 10 вариантов применения

В этой статье мы с вами рассмотрим некоторые из реальных применений обучения с подкреплением.

Читать...
​​🤖Модельный риск: как увеличить эффективность работы ML моделей в большой компании

В этой статье расскажем о том, как можно сделать машинное обучение в компании более эффективным, какие бывают риски у ML моделей и как на них реагировать, а также делимся своим опытом, как мы построили систему по модельному риску в X5 Tech – компании с сотнями ML моделей в production.

Читать...
​​👾Генеративная «уловка-22», или Почему ИИ плохо отличает сгенерированные тексты от написанных человеком

В этой статье мы разберём, почему инструменты определения сгенерированных текстов так неточны и можно ли с этим что-нибудь сделать.

Читать...
​​🚀ClickHouse: Передовой инструмент для оперативной обработки данных

В данной статье мы подробно рассмотрим что представляет собой разработка ClickHouse, а также как организации используют ее для хранения и обработки данных.

Читать...
​​💪Как мы запустили сервис вопросов и ответов, получили много хейта, а потом внедрили ML и ускорили процессы в разы

В этой статье я поделюсь с вами историей о том, как мы размечали данные, искали баланс между порогом вероятности и охватом вопросов, обучали и дообучали модель, а также расскажу об итогах нашей работы.

Читать...
​​🗣Большие языковые модели (LLM) в задачах

В этой статье на практических примерах рассмотрим какие задачи из коробки могут решать современные большие языковые модели (large language models, LLM).

Читать...
​​👋Распознавание русского жестового языка: распознаём до 3+ жестов в секунду на обычном ПК без видеокарты

В этой статье я расскажу, как и зачем мы создавали модель распознавания русского жестового языка и покажу, что из этого получилось.

Читать...
​​🌳Деревья ltree в PostgreSQL – простым языком

В этой статье я расскажу об иерархических деревьях ltree в PostgreSQL.

Читать...
​​👾Что эффективнее — усложнять модель или увеличивать количество данных?

В этой статье автор расскажет как определить, что объём данных достаточен, и где лежат границы между большим и маленьким объёмом данных.

Читать...
​​🖥Делим неделимое в Kubernetes: шеринг GPU с помощью MIG и TimeSlicing

В этой статье посмотрим, как применять технологии шеринга в Kubernetes, а также разработаем прототип автомасштабируемой инференс-платформы.

Читать...
​​🤖Дообучение saiga2_7b_lora

В данном руководстве расскажу и покажу вам, как дообучить 7-миллиардную модель под свои задачи.

Читать...
​​🛠Сетевой мультитул для ИТ и ИБ специалистов: zero-skill создание Telegram чат-бота с помощью ChatGPT

В этой статье я расскажу о своем опыте создания при помощи нейросетей Telegram чат-бота, полезного для сетевых инженеров и администраторов.

Читать...
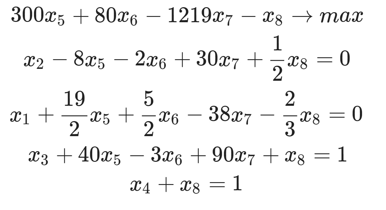
​​👤Лексикографический симплекс-метод

В этой статье мы рассмотрим решение задачи линейного программирование симлекс-методом и лексикографическим симлекс-методом на Python.

Читать...
​​🏦Внутренние данные: топливо успеха в банковской индустрии, или Тайны загрузки данных, формирующих будущее инноваций

В этой статье расскажем как их искать, зачем и куда подключать, как они могут быть полезны и какую подготовительную работу мы проводим, прежде чем подключить.

Читать...
​​👣Airflow в Kubernetes. Часть 2

В этой статье мы рассмотрим синхронизацию списка DAG с удаленным репозиторием, сохранение логов Worker, и настройку доступа из внешней сети для Webserver.

Читать...
​​😎Потоковая обработка данных с помощью Kafka Streams: архитектура и ключевые концепции

В этой статье мы рассмотрим основные компоненты Kafka Streams и теоретические аспекты их использования.

Читать...
​​🗓Использование Workalendar для определения календарных дней

В этой статье решим задачу расчёта отклонений с помощью различных инструментов, в том числе с помощью библиотеки Workalendar, покажем преимущества её использования по сравнению с другими подходами и продемонстрируем доступный функционал.

Читать...