Opinion and order.pdf
479.6 KB
Telegram Open Network В С Ё
Суд встал на сторону SEC и скорее всего Telegram ждут серьезные финансовые проблемы.
Суд встал на сторону SEC и скорее всего Telegram ждут серьезные финансовые проблемы.
FPV fly
чтобы снимать ТАКОЕ, нужно иметь скил уровня Бог в летном деле)
и уметь собирать собственных дронов (расчитывать вольтаж, лопасти, моторы, камера…)
https://youtu.be/wMOlR1qNMuk
https://youtube.com/watch?v=f3lv65BFmaA
https://youtu.be/DYHUuJAle8A
P.s примерно такими же дронами взрывают террористов, только у них к камере еще взрывчатка прилагается :)
чтобы снимать ТАКОЕ, нужно иметь скил уровня Бог в летном деле)
и уметь собирать собственных дронов (расчитывать вольтаж, лопасти, моторы, камера…)
https://youtu.be/wMOlR1qNMuk
https://youtube.com/watch?v=f3lv65BFmaA
https://youtu.be/DYHUuJAle8A
P.s примерно такими же дронами взрывают террористов, только у них к камере еще взрывчатка прилагается :)
YouTube
SANDSCAPE - Johnny FPV
SANDSCAPE - Golden sand dunes, the Presidential Palace, and chasing the worlds fastest roller coaster - Abu Dhabi gave me all access to fly their most iconic locations. Please note, this is an advertisement for Department of Culture & Tourism Abu Dhabi.…
Если не можешь о чем-то не писать, то тогда точно нужно писать.
Посмотрел оскароносный фильм Little Women и написал.
Только учтите:
• Это настолько же классика, насколько Великий Гэтсби (у Гэтсби кстати меньше экранизаций и по Гэтсби не делали аниме-сериалы).
• Фильм этот не для всех и не все его будут воспринимать одинаково (очевидные вещи).
Обзор:
https://blog.devstorm.ru/Little_Women
Трейлер:
https://youtu.be/SnwKCS6kkvE
Посмотрел оскароносный фильм Little Women и написал.
Только учтите:
• Это настолько же классика, насколько Великий Гэтсби (у Гэтсби кстати меньше экранизаций и по Гэтсби не делали аниме-сериалы).
• Фильм этот не для всех и не все его будут воспринимать одинаково (очевидные вещи).
Обзор:
https://blog.devstorm.ru/Little_Women
Трейлер:
https://youtu.be/SnwKCS6kkvE
DevStorm’s Feed
Если не можешь о чем-то не писать, то тогда точно нужно писать. Посмотрел оскароносный фильм Little Women и написал. Только учтите: • Это настолько же классика, насколько Великий Гэтсби (у Гэтсби кстати меньше экранизаций и по Гэтсби не делали аниме-сериалы).…
Media is too big
VIEW IN TELEGRAM
TJ
Океанариум в Чикаго закрыли из-за коронавируса. Пока посетителей в заведении нет, персонал выпустил пингвинов из вольеров, чтобы те могли погулять по территории и посмотреть на рыб. «Хотя для нас наступили странные времена, животные чувствуют себя хорошо…
This media is not supported in your browser
VIEW IN TELEGRAM
Пока все на карантине, у работников американского океанариума много дел.
Они решили познакомить морского льва и ящерицу.
Они решили познакомить морского льва и ящерицу.
This media is not supported in your browser
VIEW IN TELEGRAM
В австралийском океанариуме провели экскурсию для морского льва.
Ему понравились тропические рыбки и скаты.
Ему понравились тропические рыбки и скаты.
This media is not supported in your browser
VIEW IN TELEGRAM
Из-за карантина, улицы городка Лландидно в Уэльсе опустели.
После чего, их «захватили» дикие горные козлы 🐏
Они весело бегают по улицам и едят живую изгородь, заглядывая в окна к самоизолировавшимся.
После чего, их «захватили» дикие горные козлы 🐏
Они весело бегают по улицам и едят живую изгородь, заглядывая в окна к самоизолировавшимся.
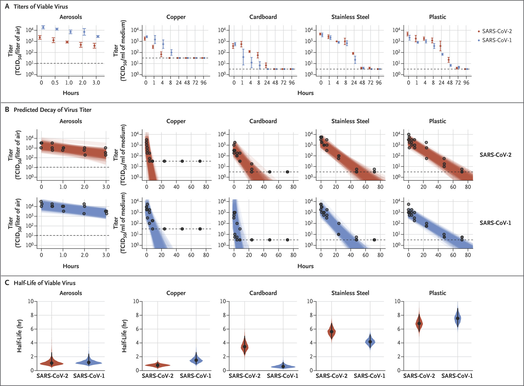
Искал информацию сколько вирус живет на различных поверхностях.
10 сайтов — 10 разных данных.
Итог: от 2 часов до 15 лет.
Иногда прямо сильно хочется, чтобы некоторые люди поскорее умерли и перестали писать в интернеты.
Данные исследований я все-таки нашел.
В воздухе — до 3 часов
Медь — до 4 часов
Картон — 24 часа
Сталь — 24 часа
Пластик — 24-48 часов
10 сайтов — 10 разных данных.
Итог: от 2 часов до 15 лет.
Иногда прямо сильно хочется, чтобы некоторые люди поскорее умерли и перестали писать в интернеты.
Данные исследований я все-таки нашел.
В воздухе — до 3 часов
Медь — до 4 часов
Картон — 24 часа
Сталь — 24 часа
Пластик — 24-48 часов
This media is not supported in your browser
VIEW IN TELEGRAM
Apple выпустила гнущиеся iPad Pro, каэф.
Кстати на официальном сайте теперь лимитировано (нельзя больше 4-х в одни руки).
А то наберут себе айпадов по 128k₽…
Кстати на официальном сайте теперь лимитировано (нельзя больше 4-х в одни руки).
А то наберут себе айпадов по 128k₽…
Сколько обычно тратишь в продуктовом магазине за раз?
Anonymous Poll
53%
0₽ — 1,000₽
28%
1,000₽ — 3,000₽
11%
3,000₽ — 7,000₽
3%
7,000₽ — 10,000₽
6%
> 10,000₽
DevStorm’s Feed
Уже третья гениальная реклама, которой я делюсь в канале поскольку #кайф. https://youtu.be/bFW1tqa8-OM Чёт даже приятно, что это Russian airlines company такое сделала. Есть ещё один крутой ролик от S7 про детей :) тоже #кайф Гении. https://youtu.be/frNrSu4Ft9Q…
Ещё немного крутой рекламы
https://youtu.be/-iE2Ml6Fbow
https://youtu.be/-iE2Ml6Fbow
YouTube
DJI - The Next Dream - 2019 Showreel
We hear it countless times throughout our lives: follow your dreams. But it takes a lot more than words to turn ideas into reality. For our annual showreel, we’re highlighting some of our favorite clips of the year, moments that inspire us to look back on…