#medium
Задача: 143. Reorder List
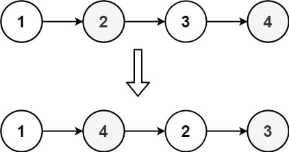
Вам дана голова односвязного списка. Список можно представить в следующем виде:
L0 → L1 → … → Ln - 1 → Ln
Переупорядочите список так, чтобы он принял следующую форму:
L0 → Ln → L1 → Ln - 1 → L2 → Ln - 2 → …
Вы не можете изменять значения в узлах списка. Можно изменять только сами узлы.
Пример:
👨💻 Алгоритм:
1️⃣ Нахождение середины списка и разделение его на две части:
Используйте два указателя, slow и fast, для нахождения середины списка. Указатель slow движется на один узел за шаг, а fast — на два узла. Когда fast достигает конца списка, slow окажется в середине.
Разделите список на две части. Первая часть начинается от головы списка до slow, вторая — с узла после slow до конца списка.
2️⃣ Реверс второй половины списка:
Инициализируйте указатели prev как NULL и curr как slow. Перемещайтесь по второй половине списка и меняйте направление ссылок между узлами для реверсирования списка.
Продолжайте, пока не перестроите весь второй сегмент, теперь последний элемент первой части списка будет указывать на NULL, а prev станет новой головой второй половины списка.
3️⃣ Слияние двух частей списка в заданном порядке:
Начните с головы первой части списка (first) и головы реверсированной второй части (second).
Перекрестно связывайте узлы из первой и второй части, вставляя узлы из второй части между узлами первой части. Передвигайте указатели first и second соответственно после каждой вставки.
Продолжайте этот процесс до тех пор, пока узлы второй части не закончатся.
😎 Решение:
🔥 ТОП ВОПРОСОВ С СОБЕСОВ
🔒 База собесов | 🔒 База тестовых
Задача: 143. Reorder List
Вам дана голова односвязного списка. Список можно представить в следующем виде:
L0 → L1 → … → Ln - 1 → Ln
Переупорядочите список так, чтобы он принял следующую форму:
L0 → Ln → L1 → Ln - 1 → L2 → Ln - 2 → …
Вы не можете изменять значения в узлах списка. Можно изменять только сами узлы.
Пример:
Input: head = [1,2,3,4]
Output: [1,4,2,3]
Используйте два указателя, slow и fast, для нахождения середины списка. Указатель slow движется на один узел за шаг, а fast — на два узла. Когда fast достигает конца списка, slow окажется в середине.
Разделите список на две части. Первая часть начинается от головы списка до slow, вторая — с узла после slow до конца списка.
Инициализируйте указатели prev как NULL и curr как slow. Перемещайтесь по второй половине списка и меняйте направление ссылок между узлами для реверсирования списка.
Продолжайте, пока не перестроите весь второй сегмент, теперь последний элемент первой части списка будет указывать на NULL, а prev станет новой головой второй половины списка.
Начните с головы первой части списка (first) и головы реверсированной второй части (second).
Перекрестно связывайте узлы из первой и второй части, вставляя узлы из второй части между узлами первой части. Передвигайте указатели first и second соответственно после каждой вставки.
Продолжайте этот процесс до тех пор, пока узлы второй части не закончатся.
var reorderList = function (head) {
if (head === null) return;
let slow = head;
let fast = head;
while (fast !== null && fast.next !== null) {
slow = slow.next;
fast = fast.next.next;
}
let prev = null;
let curr = slow;
while (curr !== null) {
let tmp = curr.next;
curr.next = prev;
prev = curr;
curr = tmp;
}
let first = head;
let second = prev;
while (second.next !== null) {
let tmp = first.next;
first.next = second;
first = tmp;
tmp = second.next;
second.next = first;
second = tmp;
}
};Please open Telegram to view this post
VIEW IN TELEGRAM
👍1
#easy
Задача: 144. Binary Tree Preorder Traversal
Дан корень бинарного дерева, верните предварительный обход значений его узлов.
Пример:
👨💻 Алгоритм:
1️⃣ Определение структуры узла дерева:
Определите класс TreeNode, который будет использоваться в реализации. Каждый узел TreeNode содержит значение и ссылки на левого и правого потомков.
2️⃣ Инициализация процесса обхода:
Начните обход с корневого узла дерева. Используйте стек для хранения узлов дерева, которые нужно обойти, начиная с корня.
3️⃣ Итеративный обход дерева:
На каждой итерации извлекайте текущий узел из стека и добавляйте его значение в выходной список.
Сначала добавьте в стек правого потомка (если он существует), затем левого потомка (если он существует). Это гарантирует, что узлы будут обрабатываться в порядке слева направо, так как стек работает по принципу LIFO (последний пришел - первый ушел).
Повторяйте процесс, пока стек не опустеет, что означает завершение обхода всех узлов.
😎 Решение:
🔥 ТОП ВОПРОСОВ С СОБЕСОВ
🔒 База собесов | 🔒 База тестовых
Задача: 144. Binary Tree Preorder Traversal
Дан корень бинарного дерева, верните предварительный обход значений его узлов.
Пример:
Input: root = [1,null,2,3]
Output: [1,2,3]
Определите класс TreeNode, который будет использоваться в реализации. Каждый узел TreeNode содержит значение и ссылки на левого и правого потомков.
Начните обход с корневого узла дерева. Используйте стек для хранения узлов дерева, которые нужно обойти, начиная с корня.
На каждой итерации извлекайте текущий узел из стека и добавляйте его значение в выходной список.
Сначала добавьте в стек правого потомка (если он существует), затем левого потомка (если он существует). Это гарантирует, что узлы будут обрабатываться в порядке слева направо, так как стек работает по принципу LIFO (последний пришел - первый ушел).
Повторяйте процесс, пока стек не опустеет, что означает завершение обхода всех узлов.
var preorderTraversal = function (root) {
if (!root) {
return [];
}
const stack = [root];
const output = [];
while (stack.length != 0) {
root = stack.pop();
if (root) {
output.push(root.val);
if (root.right) {
stack.push(root.right);
}
if (root.left) {
stack.push(root.left);
}
}
}
return output;
};Please open Telegram to view this post
VIEW IN TELEGRAM
👍1
#easy
Задача: 145. Binary Tree Postorder Traversal
Дан корень бинарного дерева, верните обход значений узлов в постпорядке.
Пример:
👨💻 Алгоритм:
1️⃣ Заполнение стека по стратегии право->узел->лево:
Инициируйте стек и добавьте в него корень дерева.
Перед тем как положить узел в стек, сначала добавьте его правого потомка, затем сам узел, а после — левого потомка. Это обеспечит последовательное извлечение узлов из стека в нужном порядке для постпорядкового обхода.
2️⃣ Извлечение узла из стека и проверка:
Извлекайте последний узел из стека, проверяя, является ли он левым листом (узел без потомков).
Если это так, добавьте значение узла в выходной список (массив значений). Если узел имеет потомков, продолжайте выполнение стека с добавлением дочерних узлов по той же стратегии.
3️⃣ Повторение процесса до опустошения стека:
Если извлеченный узел не является левым листом, необходимо обработать его потомков. Для этого, верните узел и его потомков в стек в правильном порядке, чтобы следующие итерации могли корректно обработать все узлы.
Повторяйте процесс до тех пор, пока стек не опустеет, что означает завершение обхода всех узлов.
😎 Решение:
🔥 ТОП ВОПРОСОВ С СОБЕСОВ
🔒 База собесов | 🔒 База тестовых
Задача: 145. Binary Tree Postorder Traversal
Дан корень бинарного дерева, верните обход значений узлов в постпорядке.
Пример:
Input: root = [1,null,2,3]
Output: [3,2,1]
Инициируйте стек и добавьте в него корень дерева.
Перед тем как положить узел в стек, сначала добавьте его правого потомка, затем сам узел, а после — левого потомка. Это обеспечит последовательное извлечение узлов из стека в нужном порядке для постпорядкового обхода.
Извлекайте последний узел из стека, проверяя, является ли он левым листом (узел без потомков).
Если это так, добавьте значение узла в выходной список (массив значений). Если узел имеет потомков, продолжайте выполнение стека с добавлением дочерних узлов по той же стратегии.
Если извлеченный узел не является левым листом, необходимо обработать его потомков. Для этого, верните узел и его потомков в стек в правильном порядке, чтобы следующие итерации могли корректно обработать все узлы.
Повторяйте процесс до тех пор, пока стек не опустеет, что означает завершение обхода всех узлов.
var postorderTraversal = function (root) {
let output = [];
let stack = [];
if (root === null) return output;
stack.push(root);
while (stack.length > 0) {
root = stack.pop();
output.push(root.val);
if (root.left !== null) stack.push(root.left);
if (root.right !== null) stack.push(root.right);
}
output.reverse();
return output;
};Please open Telegram to view this post
VIEW IN TELEGRAM
🔥1
#medium
Задача: 146. LRU Cache
Реализуйте класс LRUCache:
LRUCache(int capacity) - инициализирует LRU-кэш с положительным размером capacity.
int get(int key) - возвращает значение по ключу, если ключ существует, в противном случае возвращает -1.
void put(int key, int value) - обновляет значение по ключу, если ключ существует. В противном случае добавляет пару ключ-значение в кэш. Если количество ключей превышает установленную емкость после этой операции, удаляет наименее недавно использованный ключ.
Функции get и put должны выполняться за среднее время O(1).
Пример:
👨💻 Алгоритм:
1️⃣ Метод добавления узла в конец связного списка (add):
Получите текущий узел в конце списка, это "реальный" хвост: tail.prev, обозначим его как previousEnd.
Вставьте node после previousEnd, установив previousEnd.next = node.
Настройте указатели узла: node.prev = previousEnd и node.next = tail.
Обновите tail.prev = node, делая node новым "реальным" хвостом списка.
2️⃣ Метод удаления узла из связного списка (remove):
Узел node должен быть удален из списка. Для этого определите узлы nextNode = node.next и prevNode = node.prev.
Чтобы удалить node, переназначьте prevNode.next = nextNode и nextNode.prev = prevNode, эффективно исключая node из списка.
Это превратит, например, последовательность A <-> B <-> C в A <-> C, где prevNode = A и nextNode = C.
3️⃣ Методы get и put:
get(int key): Проверьте, существует ли ключ в хэш-карте. Если нет, верните -1. Иначе, получите узел, связанный с ключом, переместите его в конец списка с помощью remove(node) и add(node). Верните node.val.
put(int key, int value): Если ключ уже существует, найдите соответствующий узел и удалите его методом remove. Создайте новый узел с key и value, добавьте его в хэш-карту и в конец списка методом add(node). Если размер кэша превышает установленную емкость после добавления, удалите самый редко используемый узел (который находится в голове списка после фиктивного узла head), затем удалите соответствующий ключ из хэш-карты.
😎 Решение:
🔥 ТОП ВОПРОСОВ С СОБЕСОВ
🔒 База собесов | 🔒 База тестовых
Задача: 146. LRU Cache
Реализуйте класс LRUCache:
LRUCache(int capacity) - инициализирует LRU-кэш с положительным размером capacity.
int get(int key) - возвращает значение по ключу, если ключ существует, в противном случае возвращает -1.
void put(int key, int value) - обновляет значение по ключу, если ключ существует. В противном случае добавляет пару ключ-значение в кэш. Если количество ключей превышает установленную емкость после этой операции, удаляет наименее недавно использованный ключ.
Функции get и put должны выполняться за среднее время O(1).
Пример:
Input
["LRUCache", "put", "put", "get", "put", "get", "put", "get", "get", "get"]
[[2], [1, 1], [2, 2], [1], [3, 3], [2], [4, 4], [1], [3], [4]]
Output
[null, null, null, 1, null, -1, null, -1, 3, 4]
Получите текущий узел в конце списка, это "реальный" хвост: tail.prev, обозначим его как previousEnd.
Вставьте node после previousEnd, установив previousEnd.next = node.
Настройте указатели узла: node.prev = previousEnd и node.next = tail.
Обновите tail.prev = node, делая node новым "реальным" хвостом списка.
Узел node должен быть удален из списка. Для этого определите узлы nextNode = node.next и prevNode = node.prev.
Чтобы удалить node, переназначьте prevNode.next = nextNode и nextNode.prev = prevNode, эффективно исключая node из списка.
Это превратит, например, последовательность A <-> B <-> C в A <-> C, где prevNode = A и nextNode = C.
get(int key): Проверьте, существует ли ключ в хэш-карте. Если нет, верните -1. Иначе, получите узел, связанный с ключом, переместите его в конец списка с помощью remove(node) и add(node). Верните node.val.
put(int key, int value): Если ключ уже существует, найдите соответствующий узел и удалите его методом remove. Создайте новый узел с key и value, добавьте его в хэш-карту и в конец списка методом add(node). Если размер кэша превышает установленную емкость после добавления, удалите самый редко используемый узел (который находится в голове списка после фиктивного узла head), затем удалите соответствующий ключ из хэш-карты.
class Node {
constructor(key, value) {
this.key = key;
this.value = value;
this.next = null;
this.prev = null;
}
}
class LRUCache {
constructor(capacity) {
this.capacity = capacity;
this.dic = new Map();
this.head = new Node(-1, -1);
this.tail = new Node(-1, -1);
this.head.next = this.tail;
this.tail.prev = this.head;
}
get(key) {
if (!this.dic.has(key)) {
return -1;
}
let node = this.dic.get(key);
this.remove(node);
this.add(node);
return node.value;
}
put(key, value) {
if (this.dic.has(key)) {
this.remove(this.dic.get(key));
}
let node = new Node(key, value);
this.add(node);
this.dic.set(key, node);
if (this.dic.size > this.capacity) {
let nodeToDelete = this.head.next;
this.remove(nodeToDelete);
this.dic.delete(nodeToDelete.key);
}
}
add(node) {
let pre = this.tail.prev;
pre.next = node;
node.prev = pre;
node.next = this.tail;
this.tail.prev = node;
}
remove(node) {
let pre = node.prev;
let nxt = node.next;
pre.next = nxt;
nxt.prev = pre;
}
}Please open Telegram to view this post
VIEW IN TELEGRAM
🔥1
#medium
Задача: 147. Insertion Sort List
Дана голова односвязного списка. Отсортируйте список, используя сортировку вставками, и верните голову отсортированного списка.
Шаги алгоритма сортировки вставками:
1. Сортировка вставками итеративно работает, потребляя один входной элемент за каждую итерацию и формируя отсортированный выходной список.
2. На каждой итерации сортировка вставками удаляет один элемент из входных данных, находит место, куда он принадлежит в отсортированном списке, и вставляет его туда.
3. Процесс повторяется до тех пор, пока не закончатся входные элементы.
Пример:
👨💻 Алгоритм:
1️⃣ Создание вспомогательного узла (pseudo_head):
В качестве первого шага создайте вспомогательный узел, который называется pseudo_head. Этот узел будет использоваться как указатель на начало результирующего списка. Этот узел облегчает доступ к результирующему списку, особенно когда необходимо вставить новый элемент в начало списка. Этот прием значительно упрощает логику работы с односвязным списком.
2️⃣ Механизм вставки узла:
В односвязном списке каждый узел содержит только один указатель, который указывает на следующий узел. Чтобы вставить новый узел (например, B) перед определенным узлом (например, A), необходимо знать узел (например, C), который находится перед узлом A (т.е. C -> A). Имея ссылку на узел C, можно вставить новый узел так, чтобы получилось C -> B -> A.
3️⃣ Использование пары указателей для вставки:
Используя пару указателей (prev и next), которые служат местом для вставки нового элемента между ними, вставьте новый элемент в список. Это делается путем установки prev -> new_node -> next. Этот метод позволяет точно и безопасно вставлять новые элементы в список, сохраняя при этом правильный порядок элементов без необходимости перемещения других узлов списка.
😎 Решение:
🔥 ТОП ВОПРОСОВ С СОБЕСОВ
🔒 База собесов | 🔒 База тестовых
Задача: 147. Insertion Sort List
Дана голова односвязного списка. Отсортируйте список, используя сортировку вставками, и верните голову отсортированного списка.
Шаги алгоритма сортировки вставками:
1. Сортировка вставками итеративно работает, потребляя один входной элемент за каждую итерацию и формируя отсортированный выходной список.
2. На каждой итерации сортировка вставками удаляет один элемент из входных данных, находит место, куда он принадлежит в отсортированном списке, и вставляет его туда.
3. Процесс повторяется до тех пор, пока не закончатся входные элементы.
Пример:
Input: head = [4,2,1,3]
Output: [1,2,3,4]
В качестве первого шага создайте вспомогательный узел, который называется pseudo_head. Этот узел будет использоваться как указатель на начало результирующего списка. Этот узел облегчает доступ к результирующему списку, особенно когда необходимо вставить новый элемент в начало списка. Этот прием значительно упрощает логику работы с односвязным списком.
В односвязном списке каждый узел содержит только один указатель, который указывает на следующий узел. Чтобы вставить новый узел (например, B) перед определенным узлом (например, A), необходимо знать узел (например, C), который находится перед узлом A (т.е. C -> A). Имея ссылку на узел C, можно вставить новый узел так, чтобы получилось C -> B -> A.
Используя пару указателей (prev и next), которые служат местом для вставки нового элемента между ними, вставьте новый элемент в список. Это делается путем установки prev -> new_node -> next. Этот метод позволяет точно и безопасно вставлять новые элементы в список, сохраняя при этом правильный порядок элементов без необходимости перемещения других узлов списка.
var insertionSortList = function (head) {
let dummy = new ListNode();
let curr = head;
while (curr !== null) {
let prev = dummy;
while (prev.next !== null && prev.next.val <= curr.val) {
prev = prev.next;
}
let next = curr.next;
curr.next = prev.next;
prev.next = curr;
curr = next;
}
return dummy.next;
};Please open Telegram to view this post
VIEW IN TELEGRAM
❤1
#Medium
Задача: 148. Sort List
Дан указатель на начало связанного списка. Верните список после его сортировки в порядке возрастания.
Пример:
👨💻 Алгоритм:
1️⃣ Разделение списка (Фаза разделения):
Рекурсивно разделяйте исходный список на две половины. Процесс разделения продолжается до тех пор, пока в связанном списке не останется только один узел. Для разделения списка на две части используется подход с быстрым и медленным указателями, как упоминается в методе поиска середины связанного списка.
2️⃣ Сортировка подсписков и их объединение (Фаза слияния):
Рекурсивно сортируйте каждый подсписок и объединяйте их в один отсортированный список. Это аналогично задаче слияния двух отсортированных связанных списков.
3️⃣ Иллюстрация процесса сортировки:
Процесс продолжается до тех пор, пока не будет получен исходный список в отсортированном порядке. Например, для связанного списка [10,1,60,30,5] описан процесс сортировки слиянием с использованием подхода сверху вниз. Если у нас есть отсортированные списки list1 = [1,10] и list2 = [5,30,60], следующая анимация иллюстрирует процесс слияния обоих списков в один отсортированный список.
😎 Решение:
🔥 ТОП ВОПРОСОВ С СОБЕСОВ
🔒 База собесов | 🔒 База тестовых
Задача: 148. Sort List
Дан указатель на начало связанного списка. Верните список после его сортировки в порядке возрастания.
Пример:
Input: head = [4,2,1,3]
Output: [1,2,3,4]
Рекурсивно разделяйте исходный список на две половины. Процесс разделения продолжается до тех пор, пока в связанном списке не останется только один узел. Для разделения списка на две части используется подход с быстрым и медленным указателями, как упоминается в методе поиска середины связанного списка.
Рекурсивно сортируйте каждый подсписок и объединяйте их в один отсортированный список. Это аналогично задаче слияния двух отсортированных связанных списков.
Процесс продолжается до тех пор, пока не будет получен исходный список в отсортированном порядке. Например, для связанного списка [10,1,60,30,5] описан процесс сортировки слиянием с использованием подхода сверху вниз. Если у нас есть отсортированные списки list1 = [1,10] и list2 = [5,30,60], следующая анимация иллюстрирует процесс слияния обоих списков в один отсортированный список.
var sortList = function (head) {
if (!head || !head.next) return head;
let mid = getMid(head);
let left = sortList(head);
let right = sortList(mid);
return merge(left, right);
function merge(list1, list2) {
let dummyHead = new ListNode();
let tail = dummyHead;
while (list1 && list2) {
if (list1.val < list2.val) {
tail.next = list1;
list1 = list1.next;
} else {
tail.next = list2;
list2 = list2.next;
}
tail = tail.next;
}
tail.next = list1 ? list1 : list2;
return dummyHead.next;
}
function getMid(head) {
let midPrev = null;
while (head && head.next) {
midPrev = midPrev === null ? head : midPrev.next;
head = head.next.next;
}
let mid = midPrev.next;
midPrev.next = null;
return mid;
}
};Please open Telegram to view this post
VIEW IN TELEGRAM
👍3
#Hard
Задача: 149. Max Points on a Line
Дан массив точек, где points[i] = [xi, yi] представляет точку на плоскости XY. Верните максимальное количество точек, которые лежат на одной прямой.
Пример:
👨💻 Алгоритм:
1️⃣ Итерация по всем точкам:
Проходим по всем точкам массива. Пусть текущая точка будет points[i]. Создаём хеш-таблицу cnt для подсчёта углов.
2️⃣ Расчёт углов и подсчёт:
Для каждой точки j, не равной i, рассчитываем арктангенс вектора points[j] - points[i] и добавляем это значение в хеш-таблицу
.
3️⃣ Обновление ответа:
Пусть k будет максимальным количеством вхождений какого-либо значения угла в хеш-таблице. Обновляем ответ значением k + 1 (прибавляем 1, потому что точка points[i] также лежит на этой линии, и её нужно включить в ответ).
😎 Решение:
🔥 ТОП ВОПРОСОВ С СОБЕСОВ
🔒 База собесов | 🔒 База тестовых
Задача: 149. Max Points on a Line
Дан массив точек, где points[i] = [xi, yi] представляет точку на плоскости XY. Верните максимальное количество точек, которые лежат на одной прямой.
Пример:
Input: points = [[1,1],[2,2],[3,3]]
Output: 3
Проходим по всем точкам массива. Пусть текущая точка будет points[i]. Создаём хеш-таблицу cnt для подсчёта углов.
Для каждой точки j, не равной i, рассчитываем арктангенс вектора points[j] - points[i] и добавляем это значение в хеш-таблицу
.
Пусть k будет максимальным количеством вхождений какого-либо значения угла в хеш-таблице. Обновляем ответ значением k + 1 (прибавляем 1, потому что точка points[i] также лежит на этой линии, и её нужно включить в ответ).
var maxPoints = function (points) {
let n = points.length;
if (n == 1) {
return 1;
}
let result = 2;
for (let i = 0; i < n; i++) {
let cnt = {};
for (let j = 0; j < n; j++) {
if (j != i) {
let key = Math.atan2(
points[j][1] - points[i][1],
points[j][0] - points[i][0],
);
cnt[key] = cnt[key] ? cnt[key] + 1 : 1;
}
}
result = Math.max(result, Math.max(...Object.values(cnt)) + 1);
}
return result;
};Please open Telegram to view this post
VIEW IN TELEGRAM
🔥1
#Medium
Задача: 150. Evaluate Reverse Polish Notation
Вам дан массив строк под названием tokens, который представляет арифметическое выражение в обратной польской нотации.
Вычислите это выражение. Верните целое число, которое представляет значение этого выражения.
Обратите внимание на следующие моменты:
Допустимые операторы: '+', '-', '*' и '/'.
Каждый операнд может быть целым числом или другим выражением.
Деление двух целых чисел всегда округляется к нулю.
Деление на ноль в выражении отсутствует.
Входные данные представляют собой действительное арифметическое выражение в обратной польской нотации.
Ответ и все промежуточные вычисления можно представить 32-битным целым числом.
Пример:
👨💻 Алгоритм:
1️⃣ Обработка входных массивов:
Для языков, таких как Java, где входные данные представлены фиксированным массивом, необходимо определить собственные методы для манипулирования массивом (например, удаление элементов). Это может включать сдвиг элементов для заполнения пробелов после удаления элемента. В качестве альтернативы, копирование массива в ArrayList могло бы упростить удаление, но за счет увеличения сложности по памяти с O(1) до O(n).
2️⃣ Обработка типов и деление в Python:
Необходимо быть внимательным при обработке типов в Python во время обработки списка, поскольку числа могут быть представлены как строки или целые числа. Кроме того, стандартное деление в Python не округляет к нулю. Вместо этого использование int(a / b) достигает желаемого результата округления, что отличается от деления нацело int(a // b), которое является другим распространенным подходом.
.
3️⃣ Использование лямбда-функций:
Лямбда-функции могут упростить реализацию арифметических операций (таких как +, -, *, /). Если вы знакомы с лямбда-функциями, они предлагают элегантное решение для динамической обработки операций. Если лямбда-функции новы или не поддерживаются в используемом языке программирования, можно использовать другие методы, а изучение лямбда-функций можно отложить на потом.
😎 Решение:
🔥 ТОП ВОПРОСОВ С СОБЕСОВ
🔒 База собесов | 🔒 База тестовых
Задача: 150. Evaluate Reverse Polish Notation
Вам дан массив строк под названием tokens, который представляет арифметическое выражение в обратной польской нотации.
Вычислите это выражение. Верните целое число, которое представляет значение этого выражения.
Обратите внимание на следующие моменты:
Допустимые операторы: '+', '-', '*' и '/'.
Каждый операнд может быть целым числом или другим выражением.
Деление двух целых чисел всегда округляется к нулю.
Деление на ноль в выражении отсутствует.
Входные данные представляют собой действительное арифметическое выражение в обратной польской нотации.
Ответ и все промежуточные вычисления можно представить 32-битным целым числом.
Пример:
Input: tokens = ["2","1","+","3","*"]
Output: 9
Explanation: ((2 + 1) * 3) = 9
Для языков, таких как Java, где входные данные представлены фиксированным массивом, необходимо определить собственные методы для манипулирования массивом (например, удаление элементов). Это может включать сдвиг элементов для заполнения пробелов после удаления элемента. В качестве альтернативы, копирование массива в ArrayList могло бы упростить удаление, но за счет увеличения сложности по памяти с O(1) до O(n).
Необходимо быть внимательным при обработке типов в Python во время обработки списка, поскольку числа могут быть представлены как строки или целые числа. Кроме того, стандартное деление в Python не округляет к нулю. Вместо этого использование int(a / b) достигает желаемого результата округления, что отличается от деления нацело int(a // b), которое является другим распространенным подходом.
.
Лямбда-функции могут упростить реализацию арифметических операций (таких как +, -, *, /). Если вы знакомы с лямбда-функциями, они предлагают элегантное решение для динамической обработки операций. Если лямбда-функции новы или не поддерживаются в используемом языке программирования, можно использовать другие методы, а изучение лямбда-функций можно отложить на потом.
const OPERATORS = {
"+": (a, b) => a + b,
"-": (a, b) => a - b,
"/": (a, b) => Math.trunc(a / b),
"*": (a, b) => a * b,
};
var evalRPN = function (tokens) {
let currentPosition = 0;
while (tokens.length > 1) {
while (!(tokens[currentPosition] in OPERATORS)) {
currentPosition += 1;
}
const operator = tokens[currentPosition];
const operation = OPERATORS[operator];
const number1 = Number(tokens[currentPosition - 2]);
const number2 = Number(tokens[currentPosition - 1]);
tokens[currentPosition] = operation(number1, number2);
tokens.splice(currentPosition - 2, 2);
currentPosition -= 1;
}
return tokens[0];
};Please open Telegram to view this post
VIEW IN TELEGRAM
🔥1
#Medium
Задача: 151. Reverse Words in a String
Дана входная строка s, переверните порядок слов.
Слово определяется как последовательность символов, не являющихся пробелами. Слова в строке s разделены как минимум одним пробелом.
Верните строку, в которой слова расположены в обратном порядке, соединённые одним пробелом.
Обратите внимание, что строка s может содержать пробелы в начале или в конце, или множественные пробелы между двумя словами. Возвращаемая строка должна содержать только один пробел, разделяющий слова. Не включайте лишние пробелы.
Пример:
👨💻 Алгоритм:
1️⃣ Удаление лишних пробелов:
Удалите начальные и конечные пробелы из строки s. Это делается для того, чтобы убрать пробелы в начале и в конце строки, которые могут исказить конечный результат. В коде это реализовано с помощью методов erase и find_first_not_of/find_last_not_of, которые удаляют пробелы до первого и после последнего непробельного символа.
2️⃣ Разделение строки на слова:
Преобразуйте строку s в поток и используйте istringstream для чтения слов, разделенных пробелами. Каждое слово определяется как последовательность символов, не содержащая пробелов. Слова сохраняются в вектор words. Это делается с помощью copy, который копирует слова из потока в words с помощью istream_iterator.
.
3️⃣ Реверсирование и соединение слов:
Переверните вектор слов и соедините их обратно в одну строку, разделяя слова одним пробелом. Для реверсирования используется функция reverse, а для соединения слов — ostringstream вместе с ostream_iterator. Слова объединяются таким образом, что между ними находится только один пробел, исключая лишние пробелы между словами.
😎 Решение:
🔥 ТОП ВОПРОСОВ С СОБЕСОВ
🔒 База собесов | 🔒 База тестовых
Задача: 151. Reverse Words in a String
Дана входная строка s, переверните порядок слов.
Слово определяется как последовательность символов, не являющихся пробелами. Слова в строке s разделены как минимум одним пробелом.
Верните строку, в которой слова расположены в обратном порядке, соединённые одним пробелом.
Обратите внимание, что строка s может содержать пробелы в начале или в конце, или множественные пробелы между двумя словами. Возвращаемая строка должна содержать только один пробел, разделяющий слова. Не включайте лишние пробелы.
Пример:
Input: s = "the sky is blue"
Output: "blue is sky the"
Удалите начальные и конечные пробелы из строки s. Это делается для того, чтобы убрать пробелы в начале и в конце строки, которые могут исказить конечный результат. В коде это реализовано с помощью методов erase и find_first_not_of/find_last_not_of, которые удаляют пробелы до первого и после последнего непробельного символа.
Преобразуйте строку s в поток и используйте istringstream для чтения слов, разделенных пробелами. Каждое слово определяется как последовательность символов, не содержащая пробелов. Слова сохраняются в вектор words. Это делается с помощью copy, который копирует слова из потока в words с помощью istream_iterator.
.
Переверните вектор слов и соедините их обратно в одну строку, разделяя слова одним пробелом. Для реверсирования используется функция reverse, а для соединения слов — ostringstream вместе с ostream_iterator. Слова объединяются таким образом, что между ними находится только один пробел, исключая лишние пробелы между словами.
var reverseWords = function (s) {
s = s.trim();
let words = s.split(/\s+/).reverse();
return words.join(" ");
};Please open Telegram to view this post
VIEW IN TELEGRAM
👍1
#Medium
Задача: 152. Maximum Product Subarray
Дан массив целых чисел nums. Найдите подмассив, который имеет наибольший произведение, и верните это произведение.
Тестовые случаи созданы таким образом, что ответ поместится в 32-битное целое число.
Пример:
👨💻 Алгоритм:
1️⃣ Инициализация:
Если массив nums пуст, возвращаем 0, так как нет элементов для обработки.
Инициализируем переменную result первым элементом массива, чтобы иметь начальную точку сравнения для нахождения максимального произведения.
2️⃣ Перебор элементов:
Используем вложенные циклы для обработки всех возможных подмассивов:
Внешний цикл i начинается с начала массива и определяет начальную точку каждого подмассива.
Внутренний цикл j начинается с индекса i и идет до конца массива, последовательно умножая элементы и расширяя рассматриваемый подмассив.
.
3️⃣ Вычисление произведения и обновление результата:
Для каждой итерации внутреннего цикла умножаем текущий элемент nums[j] на аккумулирующую переменную accu и проверяем, не стало ли текущее произведение больше максимального найденного до этого.
Обновляем переменную result, если текущее произведение accu превышает текущее максимальное значение result.
😎 Решение:
🔥 ТОП ВОПРОСОВ С СОБЕСОВ
🔒 База собесов | 🔒 База тестовых
Задача: 152. Maximum Product Subarray
Дан массив целых чисел nums. Найдите подмассив, который имеет наибольший произведение, и верните это произведение.
Тестовые случаи созданы таким образом, что ответ поместится в 32-битное целое число.
Пример:
Input: nums = [2,3,-2,4]
Output: 6
Explanation: [2,3] has the largest product 6.
Если массив nums пуст, возвращаем 0, так как нет элементов для обработки.
Инициализируем переменную result первым элементом массива, чтобы иметь начальную точку сравнения для нахождения максимального произведения.
Используем вложенные циклы для обработки всех возможных подмассивов:
Внешний цикл i начинается с начала массива и определяет начальную точку каждого подмассива.
Внутренний цикл j начинается с индекса i и идет до конца массива, последовательно умножая элементы и расширяя рассматриваемый подмассив.
.
Для каждой итерации внутреннего цикла умножаем текущий элемент nums[j] на аккумулирующую переменную accu и проверяем, не стало ли текущее произведение больше максимального найденного до этого.
Обновляем переменную result, если текущее произведение accu превышает текущее максимальное значение result.
var maxProduct = function (nums) {
if (nums.length === 0) return 0;
let result = nums[0];
for (let i = 0; i < nums.length; i++) {
let accu = 1;
for (let j = i; j < nums.length; j++) {
accu *= nums[j];
result = Math.max(result, accu);
}
}
return result;
};Please open Telegram to view this post
VIEW IN TELEGRAM
❤1
#Medium
Задача: 153. Find Minimum in Rotated Sorted Array
Предположим, что массив длиной n, отсортированный в порядке возрастания, повернут от 1 до n раз. Например, массив nums = [0,1,2,4,5,6,7] может стать:
[4,5,6,7,0,1,2], если он был повернут 4 раза.
[0,1,2,4,5,6,7], если он был повернут 7 раз.
Обратите внимание, что поворот массива [a[0], a[1], a[2], ..., a[n-1]] 1 раз приводит к массиву [a[n-1], a[0], a[1], a[2], ..., a[n-2]].
Для данного отсортированного и повернутого массива nums с уникальными элементами верните минимальный элемент этого массива.
Вы должны написать алгоритм, который работает за время O(log n).
Пример:
👨💻 Алгоритм:
1️⃣ Нахождение середины массива:
Определите элемент, находящийся посередине массива.
2️⃣ Определение направления поиска:
Если элемент в середине больше первого элемента массива, это означает, что точка перегиба (минимальный элемент) находится справа от середины.
Если элемент в середине меньше первого элемента массива, это указывает на то, что точка перегиба находится слева от середины.
.
3️⃣ Остановка поиска при нахождении точки перегиба:
Поиск прекращается, когда найдена точка перегиба, когда выполняется одно из двух условий:
nums[mid] > nums[mid + 1] – следовательно, mid+1 является наименьшим элементом.
nums[mid - 1] > nums[mid] – следовательно, mid является наименьшим элементом.
😎 Решение:
🔥 ТОП ВОПРОСОВ С СОБЕСОВ
🔒 База собесов | 🔒 База тестовых
Задача: 153. Find Minimum in Rotated Sorted Array
Предположим, что массив длиной n, отсортированный в порядке возрастания, повернут от 1 до n раз. Например, массив nums = [0,1,2,4,5,6,7] может стать:
[4,5,6,7,0,1,2], если он был повернут 4 раза.
[0,1,2,4,5,6,7], если он был повернут 7 раз.
Обратите внимание, что поворот массива [a[0], a[1], a[2], ..., a[n-1]] 1 раз приводит к массиву [a[n-1], a[0], a[1], a[2], ..., a[n-2]].
Для данного отсортированного и повернутого массива nums с уникальными элементами верните минимальный элемент этого массива.
Вы должны написать алгоритм, который работает за время O(log n).
Пример:
Input: nums = [3,4,5,1,2]
Output: 1
Explanation: The original array was [1,2,3,4,5] rotated 3 times.
Определите элемент, находящийся посередине массива.
Если элемент в середине больше первого элемента массива, это означает, что точка перегиба (минимальный элемент) находится справа от середины.
Если элемент в середине меньше первого элемента массива, это указывает на то, что точка перегиба находится слева от середины.
.
Поиск прекращается, когда найдена точка перегиба, когда выполняется одно из двух условий:
nums[mid] > nums[mid + 1] – следовательно, mid+1 является наименьшим элементом.
nums[mid - 1] > nums[mid] – следовательно, mid является наименьшим элементом.
var findMin = function (nums) {
if (nums.length == 1) {
return nums[0];
}
if (nums[right] > nums[0]) {
return nums[0];
}
while (right >= left) {
let mid = left + Math.floor((right - left) / 2);
if (nums[mid] > nums[mid + 1]) {
return nums[mid + 1];
}
if (nums[mid - 1] > nums[mid]) {
return nums[mid];
}
if (nums[mid] > nums[0]) {
left = mid + 1;
} else {
right = mid - 1;
}
}
return Number.MAX_VALUE;
};Please open Telegram to view this post
VIEW IN TELEGRAM
👍1
#Hard
Задача: 154. Find Minimum in Rotated Sorted Array II
Предположим, что массив длиной n, отсортированный в порядке возрастания, повернут от 1 до n раз. Например, массив nums = [0,1,4,4,5,6,7] может стать:
[4,5,6,7,0,1,4], если он был повернут 4 раза.
[0,1,4,4,5,6,7], если он был повернут 7 раз.
Обратите внимание, что поворот массива [a[0], a[1], a[2], ..., a[n-1]] 1 раз приводит к массиву [a[n-1], a[0], a[1], a[2], ..., a[n-2]].
Для данного отсортированного и повернутого массива nums, который может содержать дубликаты, верните минимальный элемент этого массива.
Необходимо максимально уменьшить количество операций.
Пример:
👨💻 Алгоритм:
1️⃣ Сравнение с правой границей:
В классическом бинарном поиске мы бы сравнивали элемент в середине (nums[mid]) с искомым значением. В нашем случае мы сравниваем его с элементом, на который указывает правый указатель (nums[high]).
2️⃣ Обновление указателей:
Если элемент в середине находится в той же половине массива, что и элемент на правой границе (nums[mid] > nums[high]), минимальный элемент должен находиться в левой половине от mid. Следовательно, сдвигаем правый указатель на позицию mid.
Если nums[mid] < nums[high], это указывает, что минимальный элемент находится в правой половине или равен mid. Сдвигаем правый указатель на mid.
Если nums[mid] == nums[high], мы не можем быть уверены, в какой половине находится минимальный элемент из-за наличия дубликатов. В этом случае безопасно сдвинуть правый указатель на один шаг влево (high = high - 1), чтобы сузить область поиска без пропуска возможного минимального элемента.
.
3️⃣ Итерация до сужения диапазона поиска:
Продолжаем процесс, пока левый указатель не встретится с правым. В конечном итоге правый указатель укажет на минимальный элемент массива после всех поворотов.
😎 Решение:
🔥 ТОП ВОПРОСОВ С СОБЕСОВ
🔒 База собесов | 🔒 База тестовых
Задача: 154. Find Minimum in Rotated Sorted Array II
Предположим, что массив длиной n, отсортированный в порядке возрастания, повернут от 1 до n раз. Например, массив nums = [0,1,4,4,5,6,7] может стать:
[4,5,6,7,0,1,4], если он был повернут 4 раза.
[0,1,4,4,5,6,7], если он был повернут 7 раз.
Обратите внимание, что поворот массива [a[0], a[1], a[2], ..., a[n-1]] 1 раз приводит к массиву [a[n-1], a[0], a[1], a[2], ..., a[n-2]].
Для данного отсортированного и повернутого массива nums, который может содержать дубликаты, верните минимальный элемент этого массива.
Необходимо максимально уменьшить количество операций.
Пример:
Input: nums = [1,3,5]
Output: 1
В классическом бинарном поиске мы бы сравнивали элемент в середине (nums[mid]) с искомым значением. В нашем случае мы сравниваем его с элементом, на который указывает правый указатель (nums[high]).
Если элемент в середине находится в той же половине массива, что и элемент на правой границе (nums[mid] > nums[high]), минимальный элемент должен находиться в левой половине от mid. Следовательно, сдвигаем правый указатель на позицию mid.
Если nums[mid] < nums[high], это указывает, что минимальный элемент находится в правой половине или равен mid. Сдвигаем правый указатель на mid.
Если nums[mid] == nums[high], мы не можем быть уверены, в какой половине находится минимальный элемент из-за наличия дубликатов. В этом случае безопасно сдвинуть правый указатель на один шаг влево (high = high - 1), чтобы сузить область поиска без пропуска возможного минимального элемента.
.
Продолжаем процесс, пока левый указатель не встретится с правым. В конечном итоге правый указатель укажет на минимальный элемент массива после всех поворотов.
var findMin = function (nums) {
let low = 0,
high = nums.length - 1;
while (low < high) {
let pivot = low + Math.floor((high - low) / 2);
if (nums[pivot] < nums[high]) high = pivot;
else if (nums[pivot] > nums[high]) low = pivot + 1;
else high -= 1;
}
return nums[low];
};Please open Telegram to view this post
VIEW IN TELEGRAM
🔥1
#medium
Задача: 155. Min Stack
Разработайте стек, который поддерживает операции добавления элемента, удаления элемента, получения верхнего элемента и извлечения минимального элемента за постоянное время.
Реализуйте класс MinStack:
MinStack() инициализирует объект стека.
void push(int val) добавляет элемент val в стек.
void pop() удаляет элемент на вершине стека.
int top() возвращает верхний элемент стека.
int getMin() извлекает минимальный элемент в стеке.
Вы должны реализовать решение с временной сложностью O(1) для каждой функции.
Пример:
👨💻 Алгоритм:
1️⃣ Инициализация стека:
Создайте структуру данных, которая будет использоваться для хранения элементов стека. Эта структура должна поддерживать не только обычные операции стека, но и быстрый доступ к минимальному элементу.
Инициализируйте стек с помощью конструктора MinStack(), который подготовит все необходимые структуры данных для дальнейшей работы.
2️⃣ Работа со стеком:
Метод push(int val): добавьте элемент val в стек. При добавлении элемента обновите вспомогательную структуру данных, которая отслеживает минимальные значения на каждом уровне стека. Это позволит сохранить константное время выполнения для операции getMin().
Метод pop(): удалите элемент из вершины стека. При этом также необходимо обновить структуру, которая отслеживает минимальные значения, чтобы она корректно отражала новое состояние стека после удаления элемента.
3️⃣ Доступ к элементам:
Метод top(): возвращайте верхний элемент стека. В языках, таких как Python, это можно сделать, обратившись к последнему элементу списка через индекс -1 (например, self.stack[-1]).
Метод getMin(): извлекайте минимальный элемент стека. Благодаря дополнительной структуре данных, поддерживающей отслеживание минимальных значений на каждом уровне стека, этот метод также выполняется за константное время.
😎 Решение:
🔥 ТОП ВОПРОСОВ С СОБЕСОВ
🔒 База собесов | 🔒 База тестовых
Задача: 155. Min Stack
Разработайте стек, который поддерживает операции добавления элемента, удаления элемента, получения верхнего элемента и извлечения минимального элемента за постоянное время.
Реализуйте класс MinStack:
MinStack() инициализирует объект стека.
void push(int val) добавляет элемент val в стек.
void pop() удаляет элемент на вершине стека.
int top() возвращает верхний элемент стека.
int getMin() извлекает минимальный элемент в стеке.
Вы должны реализовать решение с временной сложностью O(1) для каждой функции.
Пример:
Input
["MinStack","push","push","push","getMin","pop","top","getMin"]
[[],[-2],[0],[-3],[],[],[],[]]
Output
[null,null,null,null,-3,null,0,-2]
Explanation
MinStack minStack = new MinStack();
minStack.push(-2);
minStack.push(0);
minStack.push(-3);
minStack.getMin(); // return -3
minStack.pop();
minStack.top(); // return 0
minStack.getMin(); // return -2
Создайте структуру данных, которая будет использоваться для хранения элементов стека. Эта структура должна поддерживать не только обычные операции стека, но и быстрый доступ к минимальному элементу.
Инициализируйте стек с помощью конструктора MinStack(), который подготовит все необходимые структуры данных для дальнейшей работы.
Метод push(int val): добавьте элемент val в стек. При добавлении элемента обновите вспомогательную структуру данных, которая отслеживает минимальные значения на каждом уровне стека. Это позволит сохранить константное время выполнения для операции getMin().
Метод pop(): удалите элемент из вершины стека. При этом также необходимо обновить структуру, которая отслеживает минимальные значения, чтобы она корректно отражала новое состояние стека после удаления элемента.
Метод top(): возвращайте верхний элемент стека. В языках, таких как Python, это можно сделать, обратившись к последнему элементу списка через индекс -1 (например, self.stack[-1]).
Метод getMin(): извлекайте минимальный элемент стека. Благодаря дополнительной структуре данных, поддерживающей отслеживание минимальных значений на каждом уровне стека, этот метод также выполняется за константное время.
function last(arr) {
return arr[arr.length - 1];
}
class MinStack {
_stack = [];
push(x) {
if (this._stack.length === 0) {
this._stack.push([x, x]);
return;
}
const currentMin = last(this._stack)[1];
this._stack.push([x, Math.min(currentMin, x)]);
}
pop() {
this._stack.pop();
}
top() {
return last(this._stack)[0];
}
getMin() {
return last(this._stack)[1];
}
}Please open Telegram to view this post
VIEW IN TELEGRAM
❤1👍1
#easy
Задача: 157. Read N Characters Given Read4
Предположим, что у вас есть файл, и вы можете читать файл только с помощью данного метода read4. Реализуйте метод для чтения n символов.
Метод read4:
API read4 читает четыре последовательных символа из файла, затем записывает эти символы в массив буфера buf4.
Возвращаемое значение — количество фактически прочитанных символов.
Обратите внимание, что у read4 есть собственный указатель файла, аналогично FILE *fp в C.
Определение read4:
Параметр: char[] buf4
Возвращает: int
buf4[] — это назначение, а не источник. Результаты из read4 будут скопированы в buf4[].
Метод read:
Используя метод read4, реализуйте метод read, который читает n символов из файла и сохраняет их в массиве буфера buf. Учтите, что вы не можете напрямую манипулировать файлом.
Возвращаемое значение — количество фактически прочитанных символов.
Определение read:
Параметры: char[] buf, int n
Возвращает: int
buf[] — это назначение, а не источник. Вам нужно будет записать результаты в buf[].
Примечание:
Учтите, что вы не можете напрямую манипулировать файлом. Файл доступен только для чтения с помощью read4, но не для read.
Функция read будет вызываться только один раз для каждого тестового случая.
Вы можете предполагать, что массив буфера назначения, buf, гарантированно имеет достаточно места для хранения n символов.
Пример:
👨💻 Алгоритм:
1️⃣ Инициализация и подготовка:
Инициализируйте переменные: copiedChars = 0 для подсчета скопированных символов и readChars = 4 для подсчета прочитанных символов из файла. Начальное значение readChars установлено в 4, что позволяет использовать условие readChars != 4 в качестве маркера конца файла (EOF).
Создайте внутренний буфер из 4 символов: buf4.
2️⃣ Чтение и копирование символов:
Пока количество скопированных символов меньше N (copiedChars < n) и еще есть символы в файле (readChars == 4):
Прочитайте символы из файла во внутренний буфер buf4 с помощью метода read4(buf4).
Копируйте символы из внутреннего буфера buf4 в основной буфер buf по одному. Увеличивайте copiedChars после каждого скопированного символа.
3️⃣ Завершение процесса:
Если количество скопированных символов достигло N (copiedChars == n), прервите процесс копирования.
Верните copiedChars как результат функции, указывающий на количество успешно скопированных символов в основной буфер buf.
😎 Решение:
🔥 ТОП ВОПРОСОВ С СОБЕСОВ
🔒 База собесов | 🔒 База тестовых
Задача: 157. Read N Characters Given Read4
Предположим, что у вас есть файл, и вы можете читать файл только с помощью данного метода read4. Реализуйте метод для чтения n символов.
Метод read4:
API read4 читает четыре последовательных символа из файла, затем записывает эти символы в массив буфера buf4.
Возвращаемое значение — количество фактически прочитанных символов.
Обратите внимание, что у read4 есть собственный указатель файла, аналогично FILE *fp в C.
Определение read4:
Параметр: char[] buf4
Возвращает: int
buf4[] — это назначение, а не источник. Результаты из read4 будут скопированы в buf4[].
Метод read:
Используя метод read4, реализуйте метод read, который читает n символов из файла и сохраняет их в массиве буфера buf. Учтите, что вы не можете напрямую манипулировать файлом.
Возвращаемое значение — количество фактически прочитанных символов.
Определение read:
Параметры: char[] buf, int n
Возвращает: int
buf[] — это назначение, а не источник. Вам нужно будет записать результаты в buf[].
Примечание:
Учтите, что вы не можете напрямую манипулировать файлом. Файл доступен только для чтения с помощью read4, но не для read.
Функция read будет вызываться только один раз для каждого тестового случая.
Вы можете предполагать, что массив буфера назначения, buf, гарантированно имеет достаточно места для хранения n символов.
Пример:
Input: file = "abc", n = 4
Output: 3
Explanation: After calling your read method, buf should contain "abc". We read a total of 3 characters from the file, so return 3.
Note that "abc" is the file's content, not buf. buf is the destination buffer that you will have to write the results to.
Инициализируйте переменные: copiedChars = 0 для подсчета скопированных символов и readChars = 4 для подсчета прочитанных символов из файла. Начальное значение readChars установлено в 4, что позволяет использовать условие readChars != 4 в качестве маркера конца файла (EOF).
Создайте внутренний буфер из 4 символов: buf4.
Пока количество скопированных символов меньше N (copiedChars < n) и еще есть символы в файле (readChars == 4):
Прочитайте символы из файла во внутренний буфер buf4 с помощью метода read4(buf4).
Копируйте символы из внутреннего буфера buf4 в основной буфер buf по одному. Увеличивайте copiedChars после каждого скопированного символа.
Если количество скопированных символов достигло N (copiedChars == n), прервите процесс копирования.
Верните copiedChars как результат функции, указывающий на количество успешно скопированных символов в основной буфер buf.
class Reader4 {
read4(buf4) {
return 0;
}
}
class Solution extends Reader4 {
read(buf, n) {
let copiedChars = 0, readChars = 4;
let buf4 = new Array(4).fill('\0');
while (copiedChars < n && readChars === 4) {
readChars = this.read4(buf4);
for (let i = 0; i < readChars; ++i) {
if (copiedChars === n) return copiedChars;
buf[copiedChars] = buf4[i];
++copiedChars;
}
}
return copiedChars;
}
}Please open Telegram to view this post
VIEW IN TELEGRAM
👍2
#easy
Задача: 160. Intersection of Two Linked Lists
Даны головы двух односвязных списков headA и headB. Верните узел, в котором эти два списка пересекаются. Если два связанных списка не имеют пересечений, верните null.
Например, следующие два связанных списка начинают пересекаться в узле c1.
Пример:
👨💻 Алгоритм:
1️⃣ Сохранение ссылок из списка B:
Проходим по всем узлам списка B и сохраняем ссылки (адреса) каждого узла в хеш-таблицу. Это позволит нам быстро проверять, содержится ли узел из списка A в списке B.
2️⃣ Проверка узлов списка A:
Далее, для каждого узла из списка A проверяем, существует ли такой узел в хеш-таблице, созданной на предыдущем шаге. Если такой узел найден, то он является точкой пересечения, и мы возвращаем этот узел.
3️⃣ Обработка отсутствия пересечения:
Если до конца списка A не найдено ни одного узла, который бы совпал с узлами из хеш-таблицы, возвращаем null, указывая на отсутствие пересечения между списками.
😎 Решение:
🔥 ТОП ВОПРОСОВ С СОБЕСОВ
🔒 База собесов | 🔒 База тестовых
Задача: 160. Intersection of Two Linked Lists
Даны головы двух односвязных списков headA и headB. Верните узел, в котором эти два списка пересекаются. Если два связанных списка не имеют пересечений, верните null.
Например, следующие два связанных списка начинают пересекаться в узле c1.
Пример:
Input: intersectVal = 8, listA = [4,1,8,4,5], listB = [5,6,1,8,4,5], skipA = 2, skipB = 3
Output: Intersected at '8'
Explanation: The intersected node's value is 8 (note that this must not be 0 if the two lists intersect).
From the head of A, it reads as [4,1,8,4,5]. From the head of B, it reads as [5,6,1,8,4,5]. There are 2 nodes before the intersected node in A; There are 3 nodes before the intersected node in B.
- Note that the intersected node's value is not 1 because the nodes with value 1 in A and B (2nd node in A and 3rd node in B) are different node references. In other words, they point to two different locations in memory, while the nodes with value 8 in A and B (3rd node in A and 4th node in B) point to the same location in memory.
Проходим по всем узлам списка B и сохраняем ссылки (адреса) каждого узла в хеш-таблицу. Это позволит нам быстро проверять, содержится ли узел из списка A в списке B.
Далее, для каждого узла из списка A проверяем, существует ли такой узел в хеш-таблице, созданной на предыдущем шаге. Если такой узел найден, то он является точкой пересечения, и мы возвращаем этот узел.
Если до конца списка A не найдено ни одного узла, который бы совпал с узлами из хеш-таблицы, возвращаем null, указывая на отсутствие пересечения между списками.
var getIntersectionNode = function (headA, headB) {
let nodesInB = new Set();
while (headB !== null) {
nodesInB.add(headB);
headB = headB.next;
}
while (headA !== null) {
if (nodesInB.has(headA)) {
return headA;
}
headA = headA.next;
}
return null;
};Please open Telegram to view this post
VIEW IN TELEGRAM
👍2❤1
#medium
Задача: 161. One Edit Distance
Даны две строки s и t. Верните true, если они отличаются ровно на одну операцию редактирования, иначе верните false.
Строка s считается отличающейся на одну операцию редактирования от строки t, если можно:
- Вставить ровно один символ в строку s, чтобы получить t.
- Удалить ровно один символ из строки s, чтобы получить t.
- Заменить ровно один символ в строке s на другой символ, чтобы получить t.
Пример:
👨💻 Алгоритм:
1️⃣ Проверка длины строк:
Убедитесь, что строка s короче строки t. Если это не так, поменяйте их местами и повторите проверку.
Если разница в длине между s и t больше 1, то строки невозможно привести к равенству одной операцией редактирования, верните false.
2️⃣ Сравнение строк посимвольно:
Проходите по строке s и сравнивайте каждый символ с соответствующим символом в строке t.
Если находите различающийся символ:
Если длины строк равны (ns == nt), проверьте, равны ли подстроки после текущего символа для обеих строк (s.substr(i + 1) == t.substr(i + 1)). Если равны, возвращайте true, иначе false.
Если длины строк различаются, проверьте, равна ли подстрока s начиная с текущего символа подстроке t начиная с следующего символа (s.substr(i) == t.substr(i + 1)). Если равны, возвращайте true, иначе false
3️⃣ Проверка на возможное добавление символа в конец s:
Если после посимвольного сравнения не было найдено различий на всей длине s и t длиннее s на один символ, это означает, что t можно получить добавлением одного символа в конец s. В этом случае верните true.
В противном случае верните false, так как это означает, что t либо имеет больше отличий, либо такой же размер как s без возможности привести их к равенству одной операцией редактирования.
😎 Решение:
🔥 ТОП ВОПРОСОВ С СОБЕСОВ
🔒 База собесов | 🔒 База тестовых
Задача: 161. One Edit Distance
Даны две строки s и t. Верните true, если они отличаются ровно на одну операцию редактирования, иначе верните false.
Строка s считается отличающейся на одну операцию редактирования от строки t, если можно:
- Вставить ровно один символ в строку s, чтобы получить t.
- Удалить ровно один символ из строки s, чтобы получить t.
- Заменить ровно один символ в строке s на другой символ, чтобы получить t.
Пример:
Input: s = "ab", t = "acb"
Output: true
Explanation: We can insert 'c' into s to get t.
Убедитесь, что строка s короче строки t. Если это не так, поменяйте их местами и повторите проверку.
Если разница в длине между s и t больше 1, то строки невозможно привести к равенству одной операцией редактирования, верните false.
Проходите по строке s и сравнивайте каждый символ с соответствующим символом в строке t.
Если находите различающийся символ:
Если длины строк равны (ns == nt), проверьте, равны ли подстроки после текущего символа для обеих строк (s.substr(i + 1) == t.substr(i + 1)). Если равны, возвращайте true, иначе false.
Если длины строк различаются, проверьте, равна ли подстрока s начиная с текущего символа подстроке t начиная с следующего символа (s.substr(i) == t.substr(i + 1)). Если равны, возвращайте true, иначе false
Если после посимвольного сравнения не было найдено различий на всей длине s и t длиннее s на один символ, это означает, что t можно получить добавлением одного символа в конец s. В этом случае верните true.
В противном случае верните false, так как это означает, что t либо имеет больше отличий, либо такой же размер как s без возможности привести их к равенству одной операцией редактирования.
var isOneEditDistance = function (s, t) {
let ns = s.length;
let nt = t.length;
if (ns > nt) return isOneEditDistance(t, s);
if (nt - ns > 1) return false;
for (let i = 0; i < ns; i++)
if (s[i] != t[i])
if (ns == nt)
return s.slice(i + 1) === t.slice(i + 1);
else return s.slice(i) === t.slice(i + 1);
return ns + 1 === nt;
};Please open Telegram to view this post
VIEW IN TELEGRAM
❤1👍1
#medium
Задача: 162. Find Peak Element
Пиковым элементом называется элемент, который строго больше своих соседей.
Для массива целых чисел nums с индексацией с нуля найдите пиковый элемент и верните его индекс. Если в массиве несколько пиков, верните индекс любого из пиков.
Вы можете представить, что nums[-1] = nums[n] = -∞. Другими словами, элемент всегда считается строго большим, чем сосед, находящийся за пределами массива.
Необходимо написать алгоритм, который работает за время O(log n).
Пример:
👨💻 Алгоритм:
1️⃣ Начальная проверка:
Определяем средний элемент массива mid как mid = low + (high - low) / 2. Это помогает предотвратить возможное переполнение при больших значениях индексов.
2️⃣ Определение направления поиска:
Сравниваем элемент nums[mid] с его правым соседом nums[mid + 1]. Если nums[mid] меньше nums[mid + 1], это указывает на наличие восходящей последовательности, и мы двигаемся вправо, устанавливая low = mid + 1. Это потому, что пик гарантированно находится в правой части.
Если nums[mid] больше nums[mid + 1], это указывает на наличие нисходящей последовательности, и пик находится либо в mid, либо слева от него, тогда устанавливаем high = mid.
3️⃣ Завершение поиска:
Процесс продолжается до тех пор, пока low не станет равным high, что означает сужение поисковой области до одного элемента, который и является пиком, поскольку мы исключили все другие возможности.
😎 Решение:
🔥 ТОП ВОПРОСОВ С СОБЕСОВ
🔒 База собесов | 🔒 База тестовых
Задача: 162. Find Peak Element
Пиковым элементом называется элемент, который строго больше своих соседей.
Для массива целых чисел nums с индексацией с нуля найдите пиковый элемент и верните его индекс. Если в массиве несколько пиков, верните индекс любого из пиков.
Вы можете представить, что nums[-1] = nums[n] = -∞. Другими словами, элемент всегда считается строго большим, чем сосед, находящийся за пределами массива.
Необходимо написать алгоритм, который работает за время O(log n).
Пример:
Input: nums = [1,2,3,1]
Output: 2
Explanation: 3 is a peak element and your function should return the index number 2.
Определяем средний элемент массива mid как mid = low + (high - low) / 2. Это помогает предотвратить возможное переполнение при больших значениях индексов.
Сравниваем элемент nums[mid] с его правым соседом nums[mid + 1]. Если nums[mid] меньше nums[mid + 1], это указывает на наличие восходящей последовательности, и мы двигаемся вправо, устанавливая low = mid + 1. Это потому, что пик гарантированно находится в правой части.
Если nums[mid] больше nums[mid + 1], это указывает на наличие нисходящей последовательности, и пик находится либо в mid, либо слева от него, тогда устанавливаем high = mid.
Процесс продолжается до тех пор, пока low не станет равным high, что означает сужение поисковой области до одного элемента, который и является пиком, поскольку мы исключили все другие возможности.
var findPeakElement = function (nums) {
return search(nums, 0, nums.length - 1);
};
var search = function (nums, l, r) {
if (l == r) return l;
let mid = Math.floor((l + r) / 2);
if (nums[mid] > nums[mid + 1]) return search(nums, l, mid);
return search(nums, mid + 1, r);
};Please open Telegram to view this post
VIEW IN TELEGRAM
👍1
#easy
Задача: 163. Missing Ranges
Вам дан диапазон [lower, upper] и отсортированный массив уникальных целых чисел nums, где все элементы находятся в этом диапазоне.
Число x считается пропущенным, если оно находится в диапазоне [lower, upper] и его нет в массиве nums.
Верните кратчайший отсортированный список диапазонов, который точно покрывает все пропущенные числа. То есть ни один элемент из nums не включен в какой-либо из диапазонов, и каждое пропущенное число покрыто одним из диапазонов..
Пример:
👨💻 Алгоритм:
1️⃣ Инициализация и проверка начальных условий:
Создайте переменную n и инициализируйте её размером массива nums.
Создайте список missingRanges, который будет содержать решение задачи.
Если массив nums пуст, верните диапазон [lower, upper].
Проверьте, совпадает ли первый элемент массива с lower. Если lower < nums[0], добавьте в missingRanges диапазон [lower, nums[0] - 1].
2️⃣ Итерация по элементам массива:
Проитерируйте по всем элементам в nums с помощью цикла от i = 0 до n - 2 (до предпоследнего элемента):
Если текущий элемент nums[i] и следующий элемент nums[i + 1] отличаются на 1 или меньше, между этими двумя числами нет пропущенных чисел.
В противном случае, если nums[i + 1] - nums[i] > 1, то пропущены числа от nums[i] + 1 до nums[i + 1] - 1 (включительно). В этом случае диапазон [nums[i] + 1, nums[i + 1] - 1] добавляется в missingRanges.
3️⃣ Проверка и добавление последнего пропущенного диапазона:
Проверьте, совпадает ли последний элемент массива с upper. Если nums[n - 1] < upper, добавьте в missingRanges диапазон [nums[n - 1] + 1, upper].
😎 Решение:
🔥 ТОП ВОПРОСОВ С СОБЕСОВ
🔒 База собесов | 🔒 База тестовых
Задача: 163. Missing Ranges
Вам дан диапазон [lower, upper] и отсортированный массив уникальных целых чисел nums, где все элементы находятся в этом диапазоне.
Число x считается пропущенным, если оно находится в диапазоне [lower, upper] и его нет в массиве nums.
Верните кратчайший отсортированный список диапазонов, который точно покрывает все пропущенные числа. То есть ни один элемент из nums не включен в какой-либо из диапазонов, и каждое пропущенное число покрыто одним из диапазонов..
Пример:
Input: nums = [-1], lower = -1, upper = -1
Output: []
Explanation: There are no missing ranges since there are no missing numbers.
Создайте переменную n и инициализируйте её размером массива nums.
Создайте список missingRanges, который будет содержать решение задачи.
Если массив nums пуст, верните диапазон [lower, upper].
Проверьте, совпадает ли первый элемент массива с lower. Если lower < nums[0], добавьте в missingRanges диапазон [lower, nums[0] - 1].
Проитерируйте по всем элементам в nums с помощью цикла от i = 0 до n - 2 (до предпоследнего элемента):
Если текущий элемент nums[i] и следующий элемент nums[i + 1] отличаются на 1 или меньше, между этими двумя числами нет пропущенных чисел.
В противном случае, если nums[i + 1] - nums[i] > 1, то пропущены числа от nums[i] + 1 до nums[i + 1] - 1 (включительно). В этом случае диапазон [nums[i] + 1, nums[i + 1] - 1] добавляется в missingRanges.
Проверьте, совпадает ли последний элемент массива с upper. Если nums[n - 1] < upper, добавьте в missingRanges диапазон [nums[n - 1] + 1, upper].
var findMissingRanges = function (nums, lower, upper) {
let n = nums.length;
let missingRanges = [];
if (n === 0) {
missingRanges.push([lower, upper]);
return missingRanges;
}
if (lower < nums[0]) {
missingRanges.push([lower, nums[0] - 1]);
}
for (let i = 0; i < n - 1; i++) {
if (nums[i + 1] - nums[i] <= 1) {
continue;
}
missingRanges.push([nums[i] + 1, nums[i + 1] - 1]);
}
if (upper > nums[n - 1]) {
missingRanges.push([nums[n - 1] + 1, upper]);
}
return missingRanges;
};Please open Telegram to view this post
VIEW IN TELEGRAM
❤1
#medium
Задача: 164. Maximum Gap
Дан массив целых чисел nums. Верните максимальную разницу между двумя последовательными элементами в его отсортированной форме. Если массив содержит менее двух элементов, верните 0.
Необходимо написать алгоритм, который работает за линейное время и использует линейное дополнительное пространство.
Пример:
👨💻 Алгоритм:
1️⃣ Инициализация:
Определите минимальное и максимальное значения в массиве для расчета возможного максимального интервала (разрыва) между элементами в идеально распределенном массиве.
Вычислите размер ведра (bucket size), необходимый для размещения всех элементов массива так, чтобы если массив был равномерно распределен, каждый ведер должен содержать хотя бы один элемент. Размер ведра = (max_value - min_value) / (количество элементов - 1).
2️⃣ Размещение элементов в ведрах:
Создайте ведра для хранения минимальных и максимальных значений каждого ведра. Используйте формулу для распределения каждого элемента в соответствующем ведре на основе его значения.
Игнорируйте пустые ведра при расчете максимального интервала.
3️⃣ Вычисление максимального интервала:
Пройдите через ведра и вычислите максимальный интервал, сравнивая минимальное значение текущего непустого ведра с максимальным значением предыдущего непустого ведра.
Максимальный интервал будет наибольшей разницей между "минимальными" и "максимальными" значениями последовательных непустых ведер.
😎 Решение:
🔥 ТОП ВОПРОСОВ С СОБЕСОВ
🔒 База собесов | 🔒 База тестовых
Задача: 164. Maximum Gap
Дан массив целых чисел nums. Верните максимальную разницу между двумя последовательными элементами в его отсортированной форме. Если массив содержит менее двух элементов, верните 0.
Необходимо написать алгоритм, который работает за линейное время и использует линейное дополнительное пространство.
Пример:
Input: nums = [3,6,9,1]
Output: 3
Explanation: The sorted form of the array is [1,3,6,9], either (3,6) or (6,9) has the maximum difference 3.
Определите минимальное и максимальное значения в массиве для расчета возможного максимального интервала (разрыва) между элементами в идеально распределенном массиве.
Вычислите размер ведра (bucket size), необходимый для размещения всех элементов массива так, чтобы если массив был равномерно распределен, каждый ведер должен содержать хотя бы один элемент. Размер ведра = (max_value - min_value) / (количество элементов - 1).
Создайте ведра для хранения минимальных и максимальных значений каждого ведра. Используйте формулу для распределения каждого элемента в соответствующем ведре на основе его значения.
Игнорируйте пустые ведра при расчете максимального интервала.
Пройдите через ведра и вычислите максимальный интервал, сравнивая минимальное значение текущего непустого ведра с максимальным значением предыдущего непустого ведра.
Максимальный интервал будет наибольшей разницей между "минимальными" и "максимальными" значениями последовательных непустых ведер.
var maximumGap = function (nums) {
if (nums == null || nums.length < 2)
return 0;
nums.sort((a, b) => a - b)
var maxGap = 0;
for (var i = 0; i < nums.length - 1; i++)
maxGap = Math.max(nums[i + 1] - nums[i], maxGap);
return maxGap;
};Please open Telegram to view this post
VIEW IN TELEGRAM
👍1
#medium
Задача: 165. Compare Version Numbers
Даны две строки версий, version1 и version2. Сравните их. Строка версии состоит из ревизий, разделенных точками '.'. Значение ревизии — это её целочисленное преобразование с игнорированием ведущих нулей.
Для сравнения строк версий сравнивайте их значения ревизий в порядке слева направо. Если одна из строк версий имеет меньше ревизий, то отсутствующие значения ревизий следует считать равными 0.
Верните следующее:
- Если version1 < version2, верните -1.
- Если version1 > version2, верните 1.
- В противном случае верните 0.
Пример:
👨💻 Алгоритм:
1️⃣ Разделение строк: Разделите обе строки по символу точки на два массива.
2️⃣ Итерация и сравнение: Итерируйте по самому длинному массиву и сравнивайте элементы по одному. Если один из массивов закончился, предполагайте, что все оставшиеся элементы в другом массиве равны нулю, чтобы продолжить сравнение с более длинной строкой.
3️⃣ Определение результатов сравнения:
Если два сегмента не равны, верните 1 или -1 в зависимости от того, какой сегмент больше.
Если все сегменты равны после завершения цикла, версии считаются равными. Верните 0
😎 Решение:
🔥 ТОП ВОПРОСОВ С СОБЕСОВ
🔒 База собесов | 🔒 База тестовых
Задача: 165. Compare Version Numbers
Даны две строки версий, version1 и version2. Сравните их. Строка версии состоит из ревизий, разделенных точками '.'. Значение ревизии — это её целочисленное преобразование с игнорированием ведущих нулей.
Для сравнения строк версий сравнивайте их значения ревизий в порядке слева направо. Если одна из строк версий имеет меньше ревизий, то отсутствующие значения ревизий следует считать равными 0.
Верните следующее:
- Если version1 < version2, верните -1.
- Если version1 > version2, верните 1.
- В противном случае верните 0.
Пример:
Input: version1 = "1.2", version2 = "1.10"
Output: -1
Explanation:
version1's second revision is "2" and version2's second revision is "10": 2 < 10, so version1 < version2.
Если два сегмента не равны, верните 1 или -1 в зависимости от того, какой сегмент больше.
Если все сегменты равны после завершения цикла, версии считаются равными. Верните 0
var compareVersion = function (version1, version2) {
let nums1 = version1.split(".");
let nums2 = version2.split(".");
let n1 = nums1.length,
n2 = nums2.length;
for (let i = 0; i < Math.max(n1, n2); ++i) {
let i1 = i < n1 ? parseInt(nums1[i]) : 0;
let i2 = i < n2 ? parseInt(nums2[i]) : 0;
if (i1 != i2) {
return i1 > i2 ? 1 : -1;
}
}
return 0;
};Please open Telegram to view this post
VIEW IN TELEGRAM
👍1🔥1
#medium
Задача: 166. Fraction to Recurring Decimal
Даны два целых числа, представляющих числитель и знаменатель дроби. Верните дробь в строковом формате.
Если дробная часть повторяется, заключите повторяющуюся часть в скобки.
Если возможны несколько ответов, верните любой из них.
Гарантируется, что длина строки ответа будет меньше 10^4 для всех предоставленных входных данных.
Пример:
👨💻 Алгоритм:
1️⃣ Использование хеш-таблицы для отслеживания остатков:
Создайте хеш-таблицу для хранения соответствия между остатком от деления и его позицией в дробной части. Это поможет определить начало повторяющейся части.
Для каждого нового остатка вычислите следующую цифру результата деления и проверьте, был ли такой остаток уже получен ранее.
2️⃣ Обработка нулевого остатка:
Если в процессе деления остаток становится равным нулю, это означает, что дробная часть не повторяется и процесс можно завершать.
3️⃣ Учет особенностей:
Будьте осторожны с крайними случаями, такими как отрицательные дроби или особо сложные случаи, например, деление −1 на −2147483648. В этих случаях следует корректно обрабатывать знаки и возможные переполнения.
😎 Решение:
🔥 ТОП ВОПРОСОВ С СОБЕСОВ
🔒 База собесов | 🔒 База тестовых
Задача: 166. Fraction to Recurring Decimal
Даны два целых числа, представляющих числитель и знаменатель дроби. Верните дробь в строковом формате.
Если дробная часть повторяется, заключите повторяющуюся часть в скобки.
Если возможны несколько ответов, верните любой из них.
Гарантируется, что длина строки ответа будет меньше 10^4 для всех предоставленных входных данных.
Пример:
Input: numerator = 1, denominator = 2
Output: "0.5"
Создайте хеш-таблицу для хранения соответствия между остатком от деления и его позицией в дробной части. Это поможет определить начало повторяющейся части.
Для каждого нового остатка вычислите следующую цифру результата деления и проверьте, был ли такой остаток уже получен ранее.
Если в процессе деления остаток становится равным нулю, это означает, что дробная часть не повторяется и процесс можно завершать.
Будьте осторожны с крайними случаями, такими как отрицательные дроби или особо сложные случаи, например, деление −1 на −2147483648. В этих случаях следует корректно обрабатывать знаки и возможные переполнения.
var fractionToDecimal = function (numerator, denominator) {
if (numerator === 0) {
return "0";
}
var fraction = [];
if ((numerator < 0) ^ (denominator < 0)) {
fraction.push("-");
}
var dividend = Math.abs(numerator);
var divisor = Math.abs(denominator);
fraction.push(Math.floor(dividend / divisor).toString());
var remainder = dividend % divisor;
if (remainder === 0) {
return fraction.join("");
}
fraction.push(".");
var map = {};
while (remainder !== 0) {
if (remainder in map) {
fraction.splice(map[remainder], 0, "(");
fraction.push(")");
break;
}
map[remainder] = fraction.length;
remainder *= 10;
fraction.push(Math.floor(remainder / divisor).toString());
remainder %= divisor;
}
return fraction.join("");
};Please open Telegram to view this post
VIEW IN TELEGRAM
🔥1