#medium
Задача: 102. Binary Tree Level Order Traversal
Дан корень бинарного дерева. Верните обход узлов дерева по уровням (то есть слева направо, уровень за уровнем).
Пример:
👨💻 Алгоритм:
1️⃣ Самый простой способ решения задачи — использование рекурсии. Сначала убедимся, что дерево не пустое, а затем рекурсивно вызовем функцию helper(node, level), которая принимает текущий узел и его уровень в качестве аргументов.
2️⃣ Эта функция выполняет следующее:
Выходной список здесь называется levels, и, таким образом, текущий уровень — это просто длина этого списка len(levels). Сравниваем номер текущего уровня len(levels) с уровнем узла level. Если вы все еще на предыдущем уровне, добавьте новый, добавив новый список в levels.
3️⃣ Добавьте значение узла в последний список в levels.
Рекурсивно обработайте дочерние узлы, если они не равны None: helper(node.left / node.right, level + 1).
😎 Решение:
🔥 ТОП ВОПРОСОВ С СОБЕСОВ
🔒 База собесов | 🔒 База тестовых
Задача: 102. Binary Tree Level Order Traversal
Дан корень бинарного дерева. Верните обход узлов дерева по уровням (то есть слева направо, уровень за уровнем).
Пример:
Input: root = [3,9,20,null,null,15,7]
Output: [[3],[9,20],[15,7]]
Выходной список здесь называется levels, и, таким образом, текущий уровень — это просто длина этого списка len(levels). Сравниваем номер текущего уровня len(levels) с уровнем узла level. Если вы все еще на предыдущем уровне, добавьте новый, добавив новый список в levels.
Рекурсивно обработайте дочерние узлы, если они не равны None: helper(node.left / node.right, level + 1).
var levelOrder = function (root) {
let levels = [];
function helper(node, level) {
if (levels.length === level) levels.push([]);
levels[level].push(node.val);
if (node.left !== null) helper(node.left, level + 1);
if (node.right !== null) helper(node.right, level + 1);
}
if (root !== null) helper(root, 0);
return levels;
};Please open Telegram to view this post
VIEW IN TELEGRAM
👍1🔥1
#medium
Задача: 103. Binary Tree Zigzag Level Order Traversal
Дан корень бинарного дерева. Верните обход узлов дерева по уровням в виде зигзага (то есть слева направо, затем справа налево для следующего уровня и чередуйте далее).
Пример:
👨💻 Алгоритм:
1️⃣ Мы также можем реализовать поиск в ширину (BFS) с использованием одного цикла. Трюк заключается в том, что мы добавляем узлы для посещения в очередь, а узлы разных уровней разделяем с помощью какого-то разделителя (например, пустого узла). Разделитель отмечает конец уровня, а также начало нового уровня.
2️⃣ Здесь мы принимаем второй подход, описанный выше. Можно начать с обычного алгоритма BFS, к которому мы добавляем элемент порядка зигзага с помощью deque (двусторонней очереди).
3️⃣ Для каждого уровня мы начинаем с пустого контейнера deque, который будет содержать все значения данного уровня. В зависимости от порядка каждого уровня, т.е. либо слева направо, либо справа налево, мы решаем, с какого конца deque добавлять новый элемент.
😎 Решение:
🔥 ТОП ВОПРОСОВ С СОБЕСОВ
🔒 База собесов | 🔒 База тестовых
Задача: 103. Binary Tree Zigzag Level Order Traversal
Дан корень бинарного дерева. Верните обход узлов дерева по уровням в виде зигзага (то есть слева направо, затем справа налево для следующего уровня и чередуйте далее).
Пример:
Input: root = [3,9,20,null,null,15,7]
Output: [[3],[20,9],[15,7]]
var zigzagLevelOrder = function (root) {
if (root === null) return [];
const results = [];
const node_queue = [root, null];
const level_list = [];
let is_order_left = true;
while (node_queue.length > 0) {
const curr_node = node_queue.shift();
if (curr_node !== null) {
if (is_order_left) level_list.push(curr_node.val);
else level_list.unshift(curr_node.val);
if (curr_node.left !== null) node_queue.push(curr_node.left);
if (curr_node.right !== null) node_queue.push(curr_node.right);
} else {
results.push([...level_list]);
level_list.length = 0;
if (node_queue.length > 0) node_queue.push(null);
is_order_left = !is_order_left;
}
}
return results;
};Please open Telegram to view this post
VIEW IN TELEGRAM
👍1🔥1
#easy
Задача: 104. Maximum Depth of Binary Tree
Дан корень бинарного дерева, верните его максимальную глубину.
Максимальная глубина бинарного дерева — это количество узлов вдоль самого длинного пути от корневого узла до самого удалённого листового узла.
Пример:
👨💻 Алгоритм:
1️⃣ Можно обойти дерево, используя стратегию поиска в глубину (DFS) или поиска в ширину (BFS).
2️⃣ Для данной задачи подойдет несколько способов.
3️⃣ Здесь мы демонстрируем решение, реализованное с использованием стратегии DFS и рекурсии.
😎 Решение:
🔥 ТОП ВОПРОСОВ С СОБЕСОВ
🔒 База собесов | 🔒 База тестовых
Задача: 104. Maximum Depth of Binary Tree
Дан корень бинарного дерева, верните его максимальную глубину.
Максимальная глубина бинарного дерева — это количество узлов вдоль самого длинного пути от корневого узла до самого удалённого листового узла.
Пример:
Input: root = [3,9,20,null,null,15,7]
Output: 3
var maxDepth = function (root) {
if (root === null) {
return 0;
}
const left_height = maxDepth(root.left);
const right_height = maxDepth(root.right);
return 1 + Math.max(left_height, right_height);
};Please open Telegram to view this post
VIEW IN TELEGRAM
👍4
#medium
Задача: 105. Construct Binary Tree from Preorder and Inorder Traversal
Даны два массива целых чисел: preorder и inorder, где preorder — это результат преордер обхода бинарного дерева, а inorder — результат инордер обхода того же дерева. Постройте и верните бинарное дерево.
Пример:
👨💻 Алгоритм:
1️⃣ Создайте хеш-таблицу для записи соотношения значений и их индексов в массиве inorder, чтобы можно было быстро найти позицию корня.
2️⃣ Инициализируйте переменную целочисленного типа preorderIndex для отслеживания элемента, который будет использоваться для создания корня. Реализуйте рекурсивную функцию arrayToTree, которая принимает диапазон массива inorder и возвращает построенное бинарное дерево:
Если диапазон пуст, возвращается null;
Инициализируйте корень элементом preorder[preorderIndex], затем увеличьте preorderIndex;
Рекурсивно используйте левую и правую части массива inorder для построения левого и правого поддеревьев.
3️⃣ Просто вызовите функцию рекурсии с полным диапазоном массива inorder.
😎 Решение:
🔥 ТОП ВОПРОСОВ С СОБЕСОВ
🔒 База собесов | 🔒 База тестовых
Задача: 105. Construct Binary Tree from Preorder and Inorder Traversal
Даны два массива целых чисел: preorder и inorder, где preorder — это результат преордер обхода бинарного дерева, а inorder — результат инордер обхода того же дерева. Постройте и верните бинарное дерево.
Пример:
Input: preorder = [3,9,20,15,7], inorder = [9,3,15,20,7]
Output: [3,9,20,null,null,15,7]
Если диапазон пуст, возвращается null;
Инициализируйте корень элементом preorder[preorderIndex], затем увеличьте preorderIndex;
Рекурсивно используйте левую и правую части массива inorder для построения левого и правого поддеревьев.
var buildTree = function (preorder, inorder) {
let preorderIndex = 0;
let inorderIndexMap = new Map();
for (let i = 0; i < inorder.length; i++) {
inorderIndexMap.set(inorder[i], i);
}
function arrayToTree(left, right) {
if (left > right) return null;
let rootValue = preorder[preorderIndex++];
let root = new TreeNode(rootValue);
root.left = arrayToTree(left, inorderIndexMap.get(rootValue) - 1);
root.right = arrayToTree(inorderIndexMap.get(rootValue) + 1, right);
return root;
}
return arrayToTree(0, preorder.length - 1);
};Please open Telegram to view this post
VIEW IN TELEGRAM
👍1
#medium
Задача: 106. Construct Binary Tree from Inorder and Postorder Traversal
Даны два массива целых чисел: inorder и postorder, где inorder — это массив обхода в глубину бинарного дерева слева направо, а postorder — это массив обхода в глубину после обработки всех потомков узла. Постройте и верните соответствующее бинарное дерево.
Пример:
👨💻 Алгоритм:
1️⃣ Создайте хэш-таблицу (hashmap) для хранения соответствия значений и их индексов в массиве обхода inorder.
2️⃣ Определите вспомогательную функцию
3️⃣ Выберите последний элемент в массиве обхода postorder в качестве корня. Значение корня имеет индекс
😎 Решение:
🔥 ТОП ВОПРОСОВ С СОБЕСОВ
🔒 База собесов | 🔒 База тестовых
Задача: 106. Construct Binary Tree from Inorder and Postorder Traversal
Даны два массива целых чисел: inorder и postorder, где inorder — это массив обхода в глубину бинарного дерева слева направо, а postorder — это массив обхода в глубину после обработки всех потомков узла. Постройте и верните соответствующее бинарное дерево.
Пример:
Input: inorder = [9,3,15,20,7], postorder = [9,15,7,20,3]
Output: [3,9,20,null,null,15,7]
helper, которая принимает границы левой и правой части текущего поддерева в массиве inorder. Эти границы используются для проверки, пусто ли поддерево. Если левая граница больше правой (in_left > in_right), то поддерево пустое и функция возвращает None.index в обходе inorder. Элементы от in_left до index - 1 принадлежат левому поддереву, а элементы от index + 1 до in_right — правому поддереву. Согласно логике обхода postorder, сначала рекурсивно строится правое поддерево helper(index + 1, in_right), а затем левое поддерево helper(in_left, index - 1). Возвращается корень.var buildTree = function (inorder, postorder) {
var idx_map = {};
var post_idx = postorder.length - 1;
var helper = function (in_left, in_right) {
if (in_left > in_right) return null;
var root_val = postorder[post_idx];
var root = new TreeNode(root_val);
var index = idx_map[root_val];
post_idx--;
root.right = helper(index + 1, in_right);
root.left = helper(in_left, index - 1);
return root;
};
for (var i = 0; i < inorder.length; i++) idx_map[inorder[i]] = i;
return helper(0, inorder.length - 1);
};Please open Telegram to view this post
VIEW IN TELEGRAM
👍1
Forwarded from Идущий к IT
10$ за техническое собеседование на английском языке:
1. Отправьте запись технического собеседования на английском языке файлом на этот аккаунт
2. Добавьте ссылку на вакансию или пришлите название компании и должность
3. Напишите номер кошелка USDT (Tether) на который отправить 10$
🛡 Важно:
– Запись будет использована только для сбора данных о вопросах
– Вы останетесь анонимны
– Запись нигде не будет опубликована
🤝 Условия:
– Внятный звук, различимая речь
– Допустимые профессии:
• Любые программисты
• DevOps
• Тестировщики
• Дата сайнтисты
• Бизнес/Системные аналитики
• Прожекты/Продукты
• UX/UI и продукт дизайнеры
1. Отправьте запись технического собеседования на английском языке файлом на этот аккаунт
2. Добавьте ссылку на вакансию или пришлите название компании и должность
3. Напишите номер кошелка USDT (Tether) на который отправить 10$
– Запись будет использована только для сбора данных о вопросах
– Вы останетесь анонимны
– Запись нигде не будет опубликована
– Внятный звук, различимая речь
– Допустимые профессии:
• Любые программисты
• DevOps
• Тестировщики
• Дата сайнтисты
• Бизнес/Системные аналитики
• Прожекты/Продукты
• UX/UI и продукт дизайнеры
Please open Telegram to view this post
VIEW IN TELEGRAM
#medium
Задача: 107. Binary Tree Level Order Traversal II
Дан корень бинарного дерева. Верните обход значений узлов снизу вверх по уровням (то есть слева направо, уровень за уровнем, от листа к корню).
Пример:
👨💻 Алгоритм:
1️⃣ Инициализируйте список вывода levels. Длина этого списка определяет, какой уровень в данный момент обновляется. Вам следует сравнить этот уровень len(levels) с уровнем узла level, чтобы убедиться, что вы добавляете узел на правильный уровень. Если вы все еще находитесь на предыдущем уровне, добавьте новый уровень, вставив новый список в levels.
2️⃣ Добавьте значение узла в последний уровень в levels.
3️⃣ Рекурсивно обработайте дочерние узлы, если они не равны None, используя функцию helper(node.left / node.right, level + 1).
😎 Решение:
🔥 ТОП ВОПРОСОВ С СОБЕСОВ
🔒 База собесов | 🔒 База тестовых
Задача: 107. Binary Tree Level Order Traversal II
Дан корень бинарного дерева. Верните обход значений узлов снизу вверх по уровням (то есть слева направо, уровень за уровнем, от листа к корню).
Пример:
Input: root = [3,9,20,null,null,15,7]
Output: [[15,7],[9,20],[3]]
var levelOrderBottom = function (root) {
let levels = [];
function helper(node, level) {
if (!node) return;
if (!levels[level]) levels[level] = [];
levels[level].push(node.val);
if (node.left) helper(node.left, level + 1);
if (node.right) helper(node.right, level + 1);
}
helper(root, 0);
return levels.reverse();
};Please open Telegram to view this post
VIEW IN TELEGRAM
👍2
#easy
Задача: 108. Convert Sorted Array to Binary Search Tree
Дан массив целых чисел nums, элементы которого отсортированы в порядке возрастания. Преобразуйте его в сбалансированное по высоте двоичное дерево поиска.
Пример:
👨💻 Алгоритм:
1️⃣ Инициализация функции помощника: Реализуйте функцию помощника helper(left, right), которая строит двоичное дерево поиска (BST) из элементов массива nums между индексами left и right.
Если left > right, это означает, что элементов для построения поддерева нет, возвращаем None.
2️⃣ Выбор корня и разделение массива:
Выберите элемент в середине для корня: p = (left + right) // 2.
Инициализируйте корень: root = TreeNode(nums[p]).
3️⃣ Рекурсивное построение поддеревьев:
Рекурсивно стройте левое поддерево: root.left = helper(left, p - 1).
Рекурсивно стройте правое поддерево: root.right = helper(p + 1, right).
В качестве результата возвращайте helper(0, len(nums) - 1), начиная с корня дерева.
😎 Решение:
🔥 ТОП ВОПРОСОВ С СОБЕСОВ
🔒 База собесов | 🔒 База тестовых
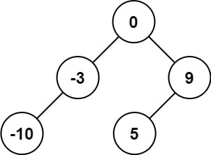
Задача: 108. Convert Sorted Array to Binary Search Tree
Дан массив целых чисел nums, элементы которого отсортированы в порядке возрастания. Преобразуйте его в сбалансированное по высоте двоичное дерево поиска.
Пример:
Input: nums = [-10,-3,0,5,9]
Output: [0,-3,9,-10,null,5]
Explanation: [0,-10,5,null,-3,null,9] is also accepted:
Если left > right, это означает, что элементов для построения поддерева нет, возвращаем None.
Выберите элемент в середине для корня: p = (left + right) // 2.
Инициализируйте корень: root = TreeNode(nums[p]).
Рекурсивно стройте левое поддерево: root.left = helper(left, p - 1).
Рекурсивно стройте правое поддерево: root.right = helper(p + 1, right).
В качестве результата возвращайте helper(0, len(nums) - 1), начиная с корня дерева.
var sortedArrayToBST = function (nums) {
return helper(nums, 0, nums.length - 1);
};
var helper = function (nums, left, right) {
if (left > right) {
return null;
}
var p = Math.floor((left + right) / 2);
var root = new TreeNode(nums[p], null, null);
root.left = helper(nums, left, p - 1);
root.right = helper(nums, p + 1, right);
return root;
};Please open Telegram to view this post
VIEW IN TELEGRAM
👍1🔥1
#medium
Задача: 109. Convert Sorted List to Binary Search Tree
Дана голова односвязного списка, элементы которого отсортированы в порядке возрастания. Преобразуйте его в сбалансированное по высоте бинарное дерево поиска.
Пример:
👨💻 Алгоритм:
1️⃣ Поскольку нам дан односвязный список, а не массив, у нас нет прямого доступа к элементам списка по индексам. Нам нужно определить средний элемент односвязного списка. Мы можем использовать подход с двумя указателями для нахождения среднего элемента списка. В основном, у нас есть два указателя: slow_ptr и fast_ptr. slow_ptr перемещается на один узел за раз, тогда как fast_ptr перемещается на два узла за раз. К тому времени, как fast_ptr достигнет конца списка, slow_ptr окажется в середине списка. Для списка с четным количеством элементов любой из двух средних элементов может стать корнем BST.
2️⃣ Как только мы находим средний элемент списка, мы отсоединяем часть списка слева от среднего элемента. Мы делаем это, сохраняя prev_ptr, который указывает на узел перед slow_ptr, т.е. prev_ptr.next = slow_ptr. Для отсоединения левой части мы просто делаем prev_ptr.next = None.
3️⃣ Для создания сбалансированного по высоте BST нам нужно передать только голову связанного списка в функцию, которая преобразует его в BST. Таким образом, мы рекурсивно работаем с левой половиной списка, передавая оригинальную голову списка, и с правой половиной, передавая slow_ptr.next в качестве головы.
😎 Решение:
🔥 ТОП ВОПРОСОВ С СОБЕСОВ
🔒 База собесов | 🔒 База тестовых
Задача: 109. Convert Sorted List to Binary Search Tree
Дана голова односвязного списка, элементы которого отсортированы в порядке возрастания. Преобразуйте его в сбалансированное по высоте бинарное дерево поиска.
Пример:
Input: head = [-10,-3,0,5,9]
Output: [0,-3,9,-10,null,5]
Explanation: One possible answer is [0,-3,9,-10,null,5], which represents the shown height balanced BST.
function ListNode(val, next) {
this.val = (val===undefined ? 0 : val);
this.next = (next===undefined ? null : next);
}
function TreeNode(val, left, right) {
this.val = (val===undefined ? 0 : val);
this.left = (left===undefined ? null : left);
this.right = (right===undefined ? null : right);
}
var sortedListToBST = function(head) {
if (!head) return null;
var mid = findMiddleElement(head);
var node = new TreeNode(mid.val);
if (head === mid) return node;
node.left = sortedListToBST(head);
node.right = sortedListToBST(mid.next);
return node;
};
var findMiddleElement = function(head) {
var prevPtr = null;
var slowPtr = head;
var fastPtr = head;
while (fastPtr && fastPtr.next) {
prevPtr = slowPtr;
slowPtr = slowPtr.next;
fastPtr = fastPtr.next.next;
}
if (prevPtr != null) prevPtr.next = null;
return slowPtr;
};Please open Telegram to view this post
VIEW IN TELEGRAM
❤1👍1🔥1
#easy
Задача: 110. Balanced Binary Tree
Дано бинарное дерево, определите, является ли оно
сбалансированным по высоте.
Пример:
👨💻 Алгоритм:
1️⃣ Сначала мы определяем функцию height, которая для любого узла p в дереве T возвращает:
-1, если p является пустым поддеревом, т.е. null;
1 + max(height(p.left), height(p.right)) в противном случае.
2️⃣ Теперь, когда у нас есть метод для определения высоты дерева, остается только сравнить высоты детей каждого узла. Дерево T с корнем r является сбалансированным тогда и только тогда, когда высоты его двух детей отличаются не более чем на 1 и поддеревья каждого ребенка также сбалансированы.
3️⃣ Следовательно, мы можем сравнить высоты двух дочерних поддеревьев, а затем рекурсивно проверить каждое из них:
Если root == NULL, возвращаем true.
Если abs(height(root.left) - height(root.right)) > 1, возвращаем false.
В противном случае возвращаем isBalanced(root.left) && isBalanced(root.right).
😎 Решение:
🔥 ТОП ВОПРОСОВ С СОБЕСОВ
🔒 База собесов | 🔒 База тестовых
Задача: 110. Balanced Binary Tree
Дано бинарное дерево, определите, является ли оно
сбалансированным по высоте.
Пример:
Input: root = [3,9,20,null,null,15,7]
Output: true
-1, если p является пустым поддеревом, т.е. null;
1 + max(height(p.left), height(p.right)) в противном случае.
Если root == NULL, возвращаем true.
Если abs(height(root.left) - height(root.right)) > 1, возвращаем false.
В противном случае возвращаем isBalanced(root.left) && isBalanced(root.right).
var height = function (root) {
if (root == null) {
return -1;
}
return 1 + Math.max(height(root.left), height(root.right));
};
var isBalanced = function (root) {
if (root == null) {
return true;
}
return (
Math.abs(height(root.left) - height(root.right)) < 2 &&
isBalanced(root.left) &&
isBalanced(root.right)
);
};Please open Telegram to view this post
VIEW IN TELEGRAM
👍1
#easy
Задача: 111. Minimum Depth of Binary Tree
Дано бинарное дерево, найдите его минимальную глубину.
Минимальная глубина - это количество узлов вдоль самого короткого пути от корневого узла до ближайшего листового узла.
Пример:
👨💻 Алгоритм:
1️⃣ Мы будем использовать метод обхода в глубину (dfs) с корнем в качестве аргумента.
Базовое условие рекурсии: это для узла NULL, в этом случае мы должны вернуть 0.
2️⃣ Если левый ребенок корня является NULL: тогда мы должны вернуть 1 + минимальную глубину для правого ребенка корневого узла, что равно 1 + dfs(root.right).
3️⃣ Если правый ребенок корня является NULL: тогда мы должны вернуть 1 + минимальную глубину для левого ребенка корневого узла, что равно 1 + dfs(root.left). Если оба ребенка не являются NULL, тогда вернуть 1 + min(dfs(root.left), dfs(root.right)).
😎 Решение:
🔥 ТОП ВОПРОСОВ С СОБЕСОВ
🔒 База собесов | 🔒 База тестовых
Задача: 111. Minimum Depth of Binary Tree
Дано бинарное дерево, найдите его минимальную глубину.
Минимальная глубина - это количество узлов вдоль самого короткого пути от корневого узла до ближайшего листового узла.
Пример:
Input: root = [3,9,20,null,null,15,7]
Output: 2
Базовое условие рекурсии: это для узла NULL, в этом случае мы должны вернуть 0.
var minDepth = function (root) {
function dfs(root) {
if (root === null) {
return 0;
}
if (root.left === null) {
return 1 + dfs(root.right);
} else if (root.right === null) {
return 1 + dfs(root.left);
}
return 1 + Math.min(dfs(root.left), dfs(root.right));
}
return dfs(root);
};Please open Telegram to view this post
VIEW IN TELEGRAM
👍2❤1
#easy
Задача: 112. Path Sum
Дан корень бинарного дерева и целое число targetSum. Верните true, если в дереве существует путь от корня до листа, такой, что сумма всех значений вдоль пути равна targetSum.
Лист — это узел без детей.
Пример:
👨💻 Алгоритм:
1️⃣ Инициализация стека: Начать с помещения в стек корневого узла и соответствующей оставшейся суммы, равной sum - root.val.
2️⃣ Обработка узлов: Извлечь текущий узел из стека и вернуть True, если оставшаяся сумма равна 0 и узел является листом.
3️⃣ Добавление дочерних узлов в стек: Если оставшаяся сумма не равна нулю или узел не является листом, добавить в стек дочерние узлы с соответствующими оставшимися суммами.
😎 Решение:
🔥 ТОП ВОПРОСОВ С СОБЕСОВ
🔒 База собесов | 🔒 База тестовых
Задача: 112. Path Sum
Дан корень бинарного дерева и целое число targetSum. Верните true, если в дереве существует путь от корня до листа, такой, что сумма всех значений вдоль пути равна targetSum.
Лист — это узел без детей.
Пример:
Input: root = [5,4,8,11,null,13,4,7,2,null,null,null,1], targetSum = 22
Output: true
Explanation: The root-to-leaf path with the target sum is shown.
var hasPathSum = function (root, sum) {
if (!root) return false;
let nodeStack = [];
let sumStack = [];
nodeStack.push(root);
sumStack.push(sum - root.val);
while (nodeStack.length > 0) {
let currentNode = nodeStack.pop();
let currSum = sumStack.pop();
if (!currentNode.left && !currentNode.right && currSum === 0)
return true;
if (currentNode.right) {
nodeStack.push(currentNode.right);
sumStack.push(currSum - currentNode.right.val);
}
if (currentNode.left) {
nodeStack.push(currentNode.left);
sumStack.push(currSum - currentNode.left.val);
}
}
return false;
};Please open Telegram to view this post
VIEW IN TELEGRAM
👍1
#Medium
Задача: 113. Path Sum II
Дан корень бинарного дерева и целое число targetSum. Верните все пути от корня до листа, где сумма значений узлов в пути равна targetSum. Каждый путь должен быть возвращён как список значений узлов, а не ссылок на узлы.
Путь от корня до листа — это путь, начинающийся от корня и заканчивающийся на любом листовом узле. Лист — это узел без детей.
Пример:
👨💻 Алгоритм:
1️⃣ Определение функции recurseTree: Функция принимает текущий узел (node), оставшуюся сумму (remainingSum), которая необходима для продолжения поиска вниз по дереву, и список узлов (pathNodes), который содержит все узлы, встреченные до текущего момента на данной ветке.
2️⃣ Проверка условий: На каждом шаге проверяется, равна ли оставшаяся сумма значению текущего узла. Если это так и текущий узел является листом, текущий путь (pathNodes) добавляется в итоговый список путей, который должен быть возвращен.
3️⃣ Обработка всех ветвей: Учитывая, что значения узлов могут быть отрицательными, необходимо исследовать все ветви дерева до самых листьев, независимо от текущей суммы по пути.
😎 Решение:
🔥 ТОП ВОПРОСОВ С СОБЕСОВ
🔒 База собесов | 🔒 База тестовых
Задача: 113. Path Sum II
Дан корень бинарного дерева и целое число targetSum. Верните все пути от корня до листа, где сумма значений узлов в пути равна targetSum. Каждый путь должен быть возвращён как список значений узлов, а не ссылок на узлы.
Путь от корня до листа — это путь, начинающийся от корня и заканчивающийся на любом листовом узле. Лист — это узел без детей.
Пример:
Input: root = [5,4,8,11,null,13,4,7,2,null,null,5,1], targetSum = 22
Output: [[5,4,11,2],[5,8,4,5]]
Explanation: There are two paths whose sum equals targetSum:
5 + 4 + 11 + 2 = 22
5 + 8 + 4 + 5 = 22
var pathSum = function (root, sum) {
let pathsList = [];
let pathNodes = [];
let recurseTree = function (node, remainingSum, pathNodes, pathsList) {
if (!node) {
return;
}
pathNodes.push(node.val);
if (
remainingSum === node.val &&
node.left === null &&
node.right === null
) {
pathsList.push(Array.from(pathNodes));
} else {
recurseTree(
node.left,
remainingSum - node.val,
pathNodes,
pathsList,
);
recurseTree(
node.right,
remainingSum - node.val,
pathNodes,
pathsList,
);
}
pathNodes.pop();
};
recurseTree(root, sum, pathNodes, pathsList);
return pathsList;
};Please open Telegram to view this post
VIEW IN TELEGRAM
❤1🔥1
#Medium
Задача: 114. Flatten Binary Tree to Linked List
"Связный список" должен использовать тот же класс TreeNode, где указатель на правого ребенка указывает на следующий узел в списке, а указатель на левого ребенка всегда равен null.
"Связный список" должен быть в том же порядке, что и обход бинарного дерева в прямом порядке.
Пример:
👨💻 Алгоритм:
1️⃣ Плоское преобразование дерева: Рекурсивно преобразуем левое и правое поддеревья заданного узла, сохраняя соответствующие конечные узлы в leftTail и rightTail.
2️⃣ Установка соединений: Если у текущего узла есть левый ребенок, выполняем следующие соединения:
leftTail.right = node.right
node.right = node.left
node.left = None
3️⃣ Возврат конечного узла: Возвращаем rightTail, если у узла есть правый ребенок, иначе возвращаем leftTail.
😎 Решение:
🔥 ТОП ВОПРОСОВ С СОБЕСОВ
🔒 База собесов | 🔒 База тестовых
Задача: 114. Flatten Binary Tree to Linked List
"Связный список" должен использовать тот же класс TreeNode, где указатель на правого ребенка указывает на следующий узел в списке, а указатель на левого ребенка всегда равен null.
"Связный список" должен быть в том же порядке, что и обход бинарного дерева в прямом порядке.
Пример:
Input: root = [1,2,5,3,4,null,6]
Output: [1,null,2,null,3,null,4,null,5,null,6]
leftTail.right = node.right
node.right = node.left
node.left = None
var flattenTree = function (node) {
if (node == null) {
return null;
}
if (node.left == null && node.right == null) {
return node;
}
let leftTail = flattenTree(node.left);
let rightTail = flattenTree(node.right);
if (leftTail != null) {
leftTail.right = node.right;
node.right = node.left;
node.left = null;
}
return rightTail == null ? leftTail : rightTail;
};
var flatten = function (root) {
flattenTree(root);
};Please open Telegram to view this post
VIEW IN TELEGRAM
👍1
#hard
Задача: 115. Distinct Subsequences
"Даны две строки s и t. Верните количество различных подпоследовательностей строки s, которые равны строке t.
Тестовые примеры сгенерированы таким образом, что ответ укладывается в 32-битное целое число со знаком."
Пример:
👨💻 Алгоритм:
1️⃣ Определите функцию с названием recurse, которая принимает два целочисленных значения i и j. Первое значение представляет текущий обрабатываемый символ в строке S, а второе - текущий символ в строке T. Инициализируйте словарь под названием memo, который будет кэшировать результаты различных вызовов рекурсии.**
2️⃣ Проверьте базовый случай. Если одна из строк закончилась, возвращается 0 или 1 в зависимости от того, удалось ли обработать всю строку T или нет. Есть ещё один базовый случай, который следует рассмотреть. Если оставшаяся длина строки S меньше, чем у строки T, то совпадение невозможно. Если это обнаруживается, то рекурсия также обрезается и возвращается 0.**
3️⃣ Затем проверяем, существует ли текущая пара индексов в нашем словаре. Если да, то просто возвращаем сохранённое/кэшированное значение. Если нет, то продолжаем обычную обработку. Сравниваем символы s[i] и t[j]. Сохраняем результат вызова recurse(i + 1, j) в переменную. Как упоминалось ранее, результат этой рекурсии необходим, независимо от совпадения символов. Если символы совпадают, добавляем к переменной результат вызова recurse(i + 1, j + 1). Наконец, сохраняем значение этой переменной в словаре с ключом (i, j) и возвращаем это значение в качестве ответа.
😎 Решение:
🔥 ТОП ВОПРОСОВ С СОБЕСОВ
🔒 База собесов | 🔒 База тестовых
Задача: 115. Distinct Subsequences
"Даны две строки s и t. Верните количество различных подпоследовательностей строки s, которые равны строке t.
Тестовые примеры сгенерированы таким образом, что ответ укладывается в 32-битное целое число со знаком."
Пример:
Input: s = "rabbbit", t = "rabbit"
Output: 3
Explanation:
As shown below, there are 3 ways you can generate "rabbit" from s.
rabbbit
rabbbit
rabbbit
var numDistinct = function (s, t) {
let memo = new Map();
function dp(i, j) {
if (i === s.length || j === t.length || s.length - i < t.length - j)
return j === t.length ? 1 : 0;
let key = [i, j].toString();
if (memo.has(key)) return memo.get(key);
let ans = dp(i + 1, j);
if (s[i] === t[j]) ans += dp(i + 1, j + 1);
memo.set(key, ans);
return ans;
}
return dp(0, 0);
};Please open Telegram to view this post
VIEW IN TELEGRAM
👍1
#medium
Задача: 116. Populating Next Right Pointers in Each Node
Вам дано идеальное бинарное дерево, где все листья находятся на одном уровне, и у каждого родителя есть два детей. Бинарное дерево имеет следующее определение:
Заполните каждый указатель
Изначально все указатели
Пример:
👨💻 Алгоритм:
1️⃣ Инициализируйте очередь Q, которую мы будем использовать во время обхода. Существует несколько способов реализации обхода в ширину, особенно когда речь идет о определении уровня конкретного узла. Можно добавлять в очередь пару (узел, уровень), и каждый раз, когда добавляются дети узла, мы добавляем (node.left, parent_level + 1) и (node.right, parent_level + 1). Этот подход не будет очень эффективен для нашего алгоритма, так как нам нужны все узлы на одном уровне, и для этого потребуется еще одна структура данных.
2️⃣ Более эффективный с точки зрения памяти способ разделения узлов одного уровня заключается в использовании некоторой разграничительной метки между уровнями. Обычно мы вставляем в очередь элемент NULL, который отмечает конец предыдущего уровня и начало следующего. Это отличный подход, но он все равно потребует некоторого количества памяти, пропорционально количеству уровней в дереве.
3️⃣ Подход, который мы будем использовать здесь, будет иметь структуру вложенных циклов, чтобы обойти необходимость указателя NULL. По сути, на каждом шаге мы записываем размер очереди, который всегда соответствует всем узлам на определенном уровне. Как только мы узнаем этот размер, мы обрабатываем только это количество элементов и не более. К моменту, когда мы закончим обработку заданного количества элементов, в очереди будут все узлы следующего уровня. Вот псевдокод для этого:
Мы начинаем с добавления корня дерева в очередь. Поскольку на уровне 0 есть только один узел, нам не нужно устанавливать какие-либо соединения, и мы можем перейти к циклу while.
😎 Решение:
🔥 ТОП ВОПРОСОВ С СОБЕСОВ
🔒 База собесов | 🔒 База тестовых
Задача: 116. Populating Next Right Pointers in Each Node
Вам дано идеальное бинарное дерево, где все листья находятся на одном уровне, и у каждого родителя есть два детей. Бинарное дерево имеет следующее определение:
struct Node {
int val;
Node *left;
Node *right;
Node *next;
}Заполните каждый указатель
next так, чтобы он указывал на следующий правый узел. Если следующего правого узла нет, указатель next должен быть установлен в NULL.Изначально все указатели
next установлены в NULL.Пример:
Input: root = [1,2,3,4,5,6,7]
Output: [1,#,2,3,#,4,5,6,7,#]
Explanation: Given the above perfect binary tree (Figure A), your function should populate each next pointer to point to its next right node, just like in Figure B. The serialized output is in level order as connected by the next pointers, with '#' signifying the end of each level.
while (!Q.empty())
{
size = Q.size()
for i in range 0..size
{
node = Q.pop()
Q.push(node.left)
Q.push(node.right)
}
}
Мы начинаем с добавления корня дерева в очередь. Поскольку на уровне 0 есть только один узел, нам не нужно устанавливать какие-либо соединения, и мы можем перейти к циклу while.
var connect = function (root) {
if (root == null) {
return root;
}
let Q = [];
Q.push(root);
while (Q.length > 0) {
let size = Q.length;
for (let i = 0; i < size; i++) {
let node = Q.shift();
if (i < size - 1) {
node.next = Q[0];
}
if (node.left != null) {
Q.push(node.left);
}
if (node.right != null) {
Q.push(node.right);
}
}
}
return root;
};Please open Telegram to view this post
VIEW IN TELEGRAM
👍1🔥1
#medium
Задача: 117. Populating Next Right Pointers in Each Node II
Вам дано бинарное дерево:
Заполните каждый указатель
Изначально все указатели
Пример:
👨💻 Алгоритм:
1️⃣ Инициализируйте очередь Q, которая будет использоваться во время обхода. Существует несколько способов реализации обхода в ширину, особенно когда дело доходит до определения уровня конкретного узла. Можно добавить в очередь пару (узел, уровень), и каждый раз, когда мы добавляем детей узла, мы добавляем (node.left, parent_level+1) и (node.right, parent_level+1). Этот подход может оказаться неэффективным для нашего алгоритма, так как нам нужны все узлы на одном уровне, и потребуется дополнительная структура данных.
2️⃣ Более эффективный с точки зрения памяти способ разделения узлов одного уровня - использовать разграничение между уровнями. Обычно мы вставляем в очередь элемент NULL, который обозначает конец предыдущего уровня и начало следующего. Это отличный подход, но он все равно потребует некоторого объема памяти, пропорционального количеству уровней в дереве.
3️⃣ Подход, который мы будем использовать, предполагает структуру вложенных циклов, чтобы обойти необходимость NULL указателя. По сути, на каждом шаге мы фиксируем размер очереди, который всегда соответствует всем узлам на определенном уровне. Как только мы узнаем этот размер, мы обрабатываем только это количество элементов и больше ничего. К тому времени, как мы закончим обработку заданного количества элементов, в очереди окажутся все узлы следующего уровня. Вот псевдокод для этого:
Мы начинаем с добавления корня дерева в очередь. Так как на уровне 0 есть только один узел, нам не нужно устанавливать какие-либо соединения, и мы можем перейти к циклу while.
😎 Решение:
🔥 ТОП ВОПРОСОВ С СОБЕСОВ
🔒 База собесов | 🔒 База тестовых
Задача: 117. Populating Next Right Pointers in Each Node II
Вам дано бинарное дерево:
struct Node {
int val;
Node *left;
Node *right;
Node *next;
}Заполните каждый указатель
next, чтобы он указывал на следующий правый узел. Если следующего правого узла нет, указатель next должен быть установлен в NULL.Изначально все указатели
next установлены в NULL.Пример:
Input: root = [1,2,3,4,5,null,7]
Output: [1,#,2,3,#,4,5,7,#]
Explanation: Given the above binary tree (Figure A), your function should populate each next pointer to point to its next right node, just like in Figure B. The serialized output is in level order as connected by the next pointers, with '#' signifying the end of each level.
while (!Q.empty())
{
size = Q.size()
for i in range 0..size
{
node = Q.pop()
Q.push(node.left)
Q.push(node.right)
}
}
Мы начинаем с добавления корня дерева в очередь. Так как на уровне 0 есть только один узел, нам не нужно устанавливать какие-либо соединения, и мы можем перейти к циклу while.
var connect = function (root) {
if (!root) return root;
const Q = [];
Q.push(root);
while (Q.length > 0) {
const size = Q.length;
for (let i = 0; i < size; i++) {
const node = Q.shift();
if (i < size - 1) {
node.next = Q[0];
}
if (node.left) Q.push(node.left);
if (node.right) Q.push(node.right);
}
}
return root;
};Please open Telegram to view this post
VIEW IN TELEGRAM
👍1
#easy
Задача: 118. Pascal's Triangle
Дано целое число numRows. Верните первые numRows строк треугольника Паскаля.
В треугольнике Паскаля каждое число является суммой двух чисел, непосредственно расположенных над ним, как показано:
Пример:
👨💻 Алгоритм:
Хотя алгоритм очень простой, итерационный подход к построению треугольника Паскаля можно классифицировать как динамическое программирование, поскольку мы строим каждую строку, опираясь на предыдущую.
Сначала мы создаём общий список треугольника, который будет хранить каждую строку как подсписок. Затем мы проверяем особый случай, когда число строк равно 0, так как в противном случае мы бы вернули [1]. Поскольку numRows всегда больше 0, мы можем инициализировать треугольник первой строкой [1] и продолжить заполнять строки следующим образом:
😎 Решение:
🔥 ТОП ВОПРОСОВ С СОБЕСОВ
🔒 База собесов | 🔒 База тестовых
Задача: 118. Pascal's Triangle
Дано целое число numRows. Верните первые numRows строк треугольника Паскаля.
В треугольнике Паскаля каждое число является суммой двух чисел, непосредственно расположенных над ним, как показано:
Пример:
Input: numRows = 5
Output: [[1],[1,1],[1,2,1],[1,3,3,1],[1,4,6,4,1]]
Хотя алгоритм очень простой, итерационный подход к построению треугольника Паскаля можно классифицировать как динамическое программирование, поскольку мы строим каждую строку, опираясь на предыдущую.
Сначала мы создаём общий список треугольника, который будет хранить каждую строку как подсписок. Затем мы проверяем особый случай, когда число строк равно 0, так как в противном случае мы бы вернули [1]. Поскольку numRows всегда больше 0, мы можем инициализировать треугольник первой строкой [1] и продолжить заполнять строки следующим образом:
var generate = function (numRows) {
const triangle = [];
triangle.push([]);
triangle[0].push(1);
for (let rowNum = 1; rowNum < numRows; rowNum++) {
const row = [];
const prevRow = triangle[rowNum - 1];
row.push(1);
for (let j = 1; j < rowNum; j++) {
row.push(prevRow[j - 1] + prevRow[j]);
}
row.push(1);
triangle.push(row);
}
return triangle;
};Please open Telegram to view this post
VIEW IN TELEGRAM
🔥1
#easy
Задача: 119. Pascal's Triangle ll
Для данного целого числа rowIndex верните rowIndex-ю строку (с индексацией с нуля) треугольника Паскаля.
Пример:
👨💻 Алгоритм:
1️⃣ Давайте представим, что у нас есть функция getNum(rowIndex, colIndex), которая дает нам число с индексом colIndex в строке с индексом rowIndex. Мы могли бы просто построить k-ю строку, повторно вызывая getNum(...) для столбцов от 0 до k.
2️⃣ Мы можем сформулировать нашу интуицию в следующую рекурсию:
getNum(rowIndex, colIndex) = getNum(rowIndex - 1, colIndex - 1) + getNum(rowIndex - 1, colIndex)
3️⃣ Рекурсия заканчивается в некоторых известных базовых случаях:
Первая строка - это просто одинокая 1, то есть getNum(0, ...) = 1
Первое и последнее число каждой строки равно 1, то есть getNum(k, 0) = getNum(k, k) = 1
😎 Решение:
🔥 ТОП ВОПРОСОВ С СОБЕСОВ
🔒 База собесов | 🔒 База тестовых
Задача: 119. Pascal's Triangle ll
Для данного целого числа rowIndex верните rowIndex-ю строку (с индексацией с нуля) треугольника Паскаля.
Пример:
Input: rowIndex = 3
Output: [1,3,3,1]
getNum(rowIndex, colIndex) = getNum(rowIndex - 1, colIndex - 1) + getNum(rowIndex - 1, colIndex)
Первая строка - это просто одинокая 1, то есть getNum(0, ...) = 1
Первое и последнее число каждой строки равно 1, то есть getNum(k, 0) = getNum(k, k) = 1
var getNum = function (row, col) {
if (row === 0 || col === 0 || row === col) {
return 1;
}
return getNum(row - 1, col - 1) + getNum(row - 1, col);
};
var getRow = function (rowIndex) {
let ans = [];
for (let i = 0; i <= rowIndex; i++) {
ans.push(getNum(rowIndex, i));
}
return ans;
};Please open Telegram to view this post
VIEW IN TELEGRAM
🔥2🤔2❤1
#medium
Задача: 120. Triangle
Дан массив в виде треугольника, верните минимальную сумму пути сверху вниз.
На каждом шаге вы можете перейти к соседнему числу в строке ниже. Более формально, если вы находитесь на индексе i в текущей строке, вы можете перейти либо к индексу i, либо к индексу i + 1 в следующей строке.
Пример:
👨💻 Алгоритм:
1️⃣ Простейший способ реализации этого заключается в перезаписи входных данных, то есть в использовании алгоритма "на месте". В подходе 2 мы рассмотрим, как модифицировать алгоритм так, чтобы он не перезаписывал входные данные, но при этом не требовал более чем O(n) дополнительного пространства.
2️⃣ Когда этот алгоритм завершит свою работу, каждая ячейка (строка, столбец) входного треугольника будет перезаписана минимальной суммой пути от (0, 0) (вершины треугольника) до (строка, столбец) включительно.
Совет на собеседовании: Алгоритмы "на месте" перезаписывают входные данные для экономии места, но иногда это может вызвать проблемы. Вот несколько ситуаций, когда алгоритм "на месте" может быть неуместен.
3️⃣ 1. Алгоритму необходимо работать в многопоточной среде, без эксклюзивного доступа к массиву. Другим потокам может потребоваться читать массив тоже, и они могут не ожидать, что он будет изменен.
2. Даже если поток один, или у алгоритма есть эксклюзивный доступ к массиву во время выполнения, массив может потребоваться повторно использовать позже или другим потоком после освобождения блокировки.
😎 Решение:
🔥 ТОП ВОПРОСОВ С СОБЕСОВ
🔒 База собесов | 🔒 База тестовых
Задача: 120. Triangle
Дан массив в виде треугольника, верните минимальную сумму пути сверху вниз.
На каждом шаге вы можете перейти к соседнему числу в строке ниже. Более формально, если вы находитесь на индексе i в текущей строке, вы можете перейти либо к индексу i, либо к индексу i + 1 в следующей строке.
Пример:
Input: triangle = [[2],[3,4],[6,5,7],[4,1,8,3]]
Output: 11
Explanation: The triangle looks like:
2
3 4
6 5 7
4 1 8 3
The minimum path sum from top to bottom is 2 + 3 + 5 + 1 = 11 (underlined above).
Совет на собеседовании: Алгоритмы "на месте" перезаписывают входные данные для экономии места, но иногда это может вызвать проблемы. Вот несколько ситуаций, когда алгоритм "на месте" может быть неуместен.
2. Даже если поток один, или у алгоритма есть эксклюзивный доступ к массиву во время выполнения, массив может потребоваться повторно использовать позже или другим потоком после освобождения блокировки.
var minimumTotal = function (triangle) {
for (let row = 1; row < triangle.length; row++) {
for (let col = 0; col <= row; col++) {
let smallestAbove = Number.MAX_VALUE;
if (col > 0) {
smallestAbove = triangle[row - 1][col - 1];
}
if (col < row) {
smallestAbove = Math.min(smallestAbove, triangle[row - 1][col]);
}
triangle[row][col] += smallestAbove;
}
}
return Math.min(...triangle[triangle.length - 1]);
};Please open Telegram to view this post
VIEW IN TELEGRAM
👍3
#easy
Задача: 121. Best Time to Buy and Sell Stock
Вам дан массив цен, где prices[i] является ценой данной акции в i-й день.
Ваша задача — максимизировать вашу прибыль, выбрав один день для покупки акции и другой день в будущем для ее продажи.
Верните максимальную прибыль, которую вы можете получить от этой операции. Если прибыль получить невозможно, верните 0.
Пример:
👨💻 Алгоритм:
Ключевые моменты на графике — это пики и впадины. Нам нужно найти наибольшую цену после каждой впадины, разница между которыми может быть максимальной прибылью. Мы можем поддерживать две переменные — minprice и maxprofit, соответствующие наименьшей впадине и максимальной прибыли (максимальной разнице между ценой продажи и minprice), полученной на данный момент соответственно.
😎 Решение:
🔥 ТОП ВОПРОСОВ С СОБЕСОВ
🔒 База собесов | 🔒 База тестовых
Задача: 121. Best Time to Buy and Sell Stock
Вам дан массив цен, где prices[i] является ценой данной акции в i-й день.
Ваша задача — максимизировать вашу прибыль, выбрав один день для покупки акции и другой день в будущем для ее продажи.
Верните максимальную прибыль, которую вы можете получить от этой операции. Если прибыль получить невозможно, верните 0.
Пример:
Input: prices = [7,1,5,3,6,4]
Output: 5
Explanation: Buy on day 2 (price = 1) and sell on day 5 (price = 6), profit = 6-1 = 5.
Note that buying on day 2 and selling on day 1 is not allowed because you must buy before you sell.
Ключевые моменты на графике — это пики и впадины. Нам нужно найти наибольшую цену после каждой впадины, разница между которыми может быть максимальной прибылью. Мы можем поддерживать две переменные — minprice и maxprofit, соответствующие наименьшей впадине и максимальной прибыли (максимальной разнице между ценой продажи и minprice), полученной на данный момент соответственно.
var maxProfit = function (prices) {
let minprice = Number.MAX_VALUE;
let maxprofit = 0;
for (let i = 0; i < prices.length; i++) {
if (prices[i] < minprice) minprice = prices[i];
else if (prices[i] - minprice > maxprofit)
maxprofit = prices[i] - minprice;
}
return maxprofit;
};Please open Telegram to view this post
VIEW IN TELEGRAM
👍3🔥2