#easy
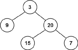
Задача: 110. Balanced Binary Tree
Дано бинарное дерево, определите, является ли оно
сбалансированным по высоте.
Пример:
👨💻 Алгоритм:
1️⃣ Сначала мы определяем функцию height, которая для любого узла p в дереве T возвращает:
-1, если p является пустым поддеревом, т.е. null;
1 + max(height(p.left), height(p.right)) в противном случае.
2️⃣ Теперь, когда у нас есть метод для определения высоты дерева, остается только сравнить высоты детей каждого узла. Дерево T с корнем r является сбалансированным тогда и только тогда, когда высоты его двух детей отличаются не более чем на 1 и поддеревья каждого ребенка также сбалансированы.
3️⃣ Следовательно, мы можем сравнить высоты двух дочерних поддеревьев, а затем рекурсивно проверить каждое из них:
Если root == NULL, возвращаем true.
Если abs(height(root.left) - height(root.right)) > 1, возвращаем false.
В противном случае возвращаем isBalanced(root.left) && isBalanced(root.right).
😎 Решение:
🔥 ТОП ВОПРОСОВ С СОБЕСОВ
🔒 База собесов | 🔒 База тестовых
Задача: 110. Balanced Binary Tree
Дано бинарное дерево, определите, является ли оно
сбалансированным по высоте.
Пример:
Input: root = [3,9,20,null,null,15,7]
Output: true
-1, если p является пустым поддеревом, т.е. null;
1 + max(height(p.left), height(p.right)) в противном случае.
Если root == NULL, возвращаем true.
Если abs(height(root.left) - height(root.right)) > 1, возвращаем false.
В противном случае возвращаем isBalanced(root.left) && isBalanced(root.right).
var height = function (root) {
if (root == null) {
return -1;
}
return 1 + Math.max(height(root.left), height(root.right));
};
var isBalanced = function (root) {
if (root == null) {
return true;
}
return (
Math.abs(height(root.left) - height(root.right)) < 2 &&
isBalanced(root.left) &&
isBalanced(root.right)
);
};Please open Telegram to view this post
VIEW IN TELEGRAM
👍1
#easy
Задача: 111. Minimum Depth of Binary Tree
Дано бинарное дерево, найдите его минимальную глубину.
Минимальная глубина - это количество узлов вдоль самого короткого пути от корневого узла до ближайшего листового узла.
Пример:
👨💻 Алгоритм:
1️⃣ Мы будем использовать метод обхода в глубину (dfs) с корнем в качестве аргумента.
Базовое условие рекурсии: это для узла NULL, в этом случае мы должны вернуть 0.
2️⃣ Если левый ребенок корня является NULL: тогда мы должны вернуть 1 + минимальную глубину для правого ребенка корневого узла, что равно 1 + dfs(root.right).
3️⃣ Если правый ребенок корня является NULL: тогда мы должны вернуть 1 + минимальную глубину для левого ребенка корневого узла, что равно 1 + dfs(root.left). Если оба ребенка не являются NULL, тогда вернуть 1 + min(dfs(root.left), dfs(root.right)).
😎 Решение:
🔥 ТОП ВОПРОСОВ С СОБЕСОВ
🔒 База собесов | 🔒 База тестовых
Задача: 111. Minimum Depth of Binary Tree
Дано бинарное дерево, найдите его минимальную глубину.
Минимальная глубина - это количество узлов вдоль самого короткого пути от корневого узла до ближайшего листового узла.
Пример:
Input: root = [3,9,20,null,null,15,7]
Output: 2
Базовое условие рекурсии: это для узла NULL, в этом случае мы должны вернуть 0.
var minDepth = function (root) {
function dfs(root) {
if (root === null) {
return 0;
}
if (root.left === null) {
return 1 + dfs(root.right);
} else if (root.right === null) {
return 1 + dfs(root.left);
}
return 1 + Math.min(dfs(root.left), dfs(root.right));
}
return dfs(root);
};Please open Telegram to view this post
VIEW IN TELEGRAM
👍2❤1
#easy
Задача: 112. Path Sum
Дан корень бинарного дерева и целое число targetSum. Верните true, если в дереве существует путь от корня до листа, такой, что сумма всех значений вдоль пути равна targetSum.
Лист — это узел без детей.
Пример:
👨💻 Алгоритм:
1️⃣ Инициализация стека: Начать с помещения в стек корневого узла и соответствующей оставшейся суммы, равной sum - root.val.
2️⃣ Обработка узлов: Извлечь текущий узел из стека и вернуть True, если оставшаяся сумма равна 0 и узел является листом.
3️⃣ Добавление дочерних узлов в стек: Если оставшаяся сумма не равна нулю или узел не является листом, добавить в стек дочерние узлы с соответствующими оставшимися суммами.
😎 Решение:
🔥 ТОП ВОПРОСОВ С СОБЕСОВ
🔒 База собесов | 🔒 База тестовых
Задача: 112. Path Sum
Дан корень бинарного дерева и целое число targetSum. Верните true, если в дереве существует путь от корня до листа, такой, что сумма всех значений вдоль пути равна targetSum.
Лист — это узел без детей.
Пример:
Input: root = [5,4,8,11,null,13,4,7,2,null,null,null,1], targetSum = 22
Output: true
Explanation: The root-to-leaf path with the target sum is shown.
var hasPathSum = function (root, sum) {
if (!root) return false;
let nodeStack = [];
let sumStack = [];
nodeStack.push(root);
sumStack.push(sum - root.val);
while (nodeStack.length > 0) {
let currentNode = nodeStack.pop();
let currSum = sumStack.pop();
if (!currentNode.left && !currentNode.right && currSum === 0)
return true;
if (currentNode.right) {
nodeStack.push(currentNode.right);
sumStack.push(currSum - currentNode.right.val);
}
if (currentNode.left) {
nodeStack.push(currentNode.left);
sumStack.push(currSum - currentNode.left.val);
}
}
return false;
};Please open Telegram to view this post
VIEW IN TELEGRAM
👍1
#Medium
Задача: 113. Path Sum II
Дан корень бинарного дерева и целое число targetSum. Верните все пути от корня до листа, где сумма значений узлов в пути равна targetSum. Каждый путь должен быть возвращён как список значений узлов, а не ссылок на узлы.
Путь от корня до листа — это путь, начинающийся от корня и заканчивающийся на любом листовом узле. Лист — это узел без детей.
Пример:
👨💻 Алгоритм:
1️⃣ Определение функции recurseTree: Функция принимает текущий узел (node), оставшуюся сумму (remainingSum), которая необходима для продолжения поиска вниз по дереву, и список узлов (pathNodes), который содержит все узлы, встреченные до текущего момента на данной ветке.
2️⃣ Проверка условий: На каждом шаге проверяется, равна ли оставшаяся сумма значению текущего узла. Если это так и текущий узел является листом, текущий путь (pathNodes) добавляется в итоговый список путей, который должен быть возвращен.
3️⃣ Обработка всех ветвей: Учитывая, что значения узлов могут быть отрицательными, необходимо исследовать все ветви дерева до самых листьев, независимо от текущей суммы по пути.
😎 Решение:
🔥 ТОП ВОПРОСОВ С СОБЕСОВ
🔒 База собесов | 🔒 База тестовых
Задача: 113. Path Sum II
Дан корень бинарного дерева и целое число targetSum. Верните все пути от корня до листа, где сумма значений узлов в пути равна targetSum. Каждый путь должен быть возвращён как список значений узлов, а не ссылок на узлы.
Путь от корня до листа — это путь, начинающийся от корня и заканчивающийся на любом листовом узле. Лист — это узел без детей.
Пример:
Input: root = [5,4,8,11,null,13,4,7,2,null,null,5,1], targetSum = 22
Output: [[5,4,11,2],[5,8,4,5]]
Explanation: There are two paths whose sum equals targetSum:
5 + 4 + 11 + 2 = 22
5 + 8 + 4 + 5 = 22
var pathSum = function (root, sum) {
let pathsList = [];
let pathNodes = [];
let recurseTree = function (node, remainingSum, pathNodes, pathsList) {
if (!node) {
return;
}
pathNodes.push(node.val);
if (
remainingSum === node.val &&
node.left === null &&
node.right === null
) {
pathsList.push(Array.from(pathNodes));
} else {
recurseTree(
node.left,
remainingSum - node.val,
pathNodes,
pathsList,
);
recurseTree(
node.right,
remainingSum - node.val,
pathNodes,
pathsList,
);
}
pathNodes.pop();
};
recurseTree(root, sum, pathNodes, pathsList);
return pathsList;
};Please open Telegram to view this post
VIEW IN TELEGRAM
❤1🔥1
#Medium
Задача: 114. Flatten Binary Tree to Linked List
"Связный список" должен использовать тот же класс TreeNode, где указатель на правого ребенка указывает на следующий узел в списке, а указатель на левого ребенка всегда равен null.
"Связный список" должен быть в том же порядке, что и обход бинарного дерева в прямом порядке.
Пример:
👨💻 Алгоритм:
1️⃣ Плоское преобразование дерева: Рекурсивно преобразуем левое и правое поддеревья заданного узла, сохраняя соответствующие конечные узлы в leftTail и rightTail.
2️⃣ Установка соединений: Если у текущего узла есть левый ребенок, выполняем следующие соединения:
leftTail.right = node.right
node.right = node.left
node.left = None
3️⃣ Возврат конечного узла: Возвращаем rightTail, если у узла есть правый ребенок, иначе возвращаем leftTail.
😎 Решение:
🔥 ТОП ВОПРОСОВ С СОБЕСОВ
🔒 База собесов | 🔒 База тестовых
Задача: 114. Flatten Binary Tree to Linked List
"Связный список" должен использовать тот же класс TreeNode, где указатель на правого ребенка указывает на следующий узел в списке, а указатель на левого ребенка всегда равен null.
"Связный список" должен быть в том же порядке, что и обход бинарного дерева в прямом порядке.
Пример:
Input: root = [1,2,5,3,4,null,6]
Output: [1,null,2,null,3,null,4,null,5,null,6]
leftTail.right = node.right
node.right = node.left
node.left = None
var flattenTree = function (node) {
if (node == null) {
return null;
}
if (node.left == null && node.right == null) {
return node;
}
let leftTail = flattenTree(node.left);
let rightTail = flattenTree(node.right);
if (leftTail != null) {
leftTail.right = node.right;
node.right = node.left;
node.left = null;
}
return rightTail == null ? leftTail : rightTail;
};
var flatten = function (root) {
flattenTree(root);
};Please open Telegram to view this post
VIEW IN TELEGRAM
👍1
#hard
Задача: 115. Distinct Subsequences
"Даны две строки s и t. Верните количество различных подпоследовательностей строки s, которые равны строке t.
Тестовые примеры сгенерированы таким образом, что ответ укладывается в 32-битное целое число со знаком."
Пример:
👨💻 Алгоритм:
1️⃣ Определите функцию с названием recurse, которая принимает два целочисленных значения i и j. Первое значение представляет текущий обрабатываемый символ в строке S, а второе - текущий символ в строке T. Инициализируйте словарь под названием memo, который будет кэшировать результаты различных вызовов рекурсии.**
2️⃣ Проверьте базовый случай. Если одна из строк закончилась, возвращается 0 или 1 в зависимости от того, удалось ли обработать всю строку T или нет. Есть ещё один базовый случай, который следует рассмотреть. Если оставшаяся длина строки S меньше, чем у строки T, то совпадение невозможно. Если это обнаруживается, то рекурсия также обрезается и возвращается 0.**
3️⃣ Затем проверяем, существует ли текущая пара индексов в нашем словаре. Если да, то просто возвращаем сохранённое/кэшированное значение. Если нет, то продолжаем обычную обработку. Сравниваем символы s[i] и t[j]. Сохраняем результат вызова recurse(i + 1, j) в переменную. Как упоминалось ранее, результат этой рекурсии необходим, независимо от совпадения символов. Если символы совпадают, добавляем к переменной результат вызова recurse(i + 1, j + 1). Наконец, сохраняем значение этой переменной в словаре с ключом (i, j) и возвращаем это значение в качестве ответа.
😎 Решение:
🔥 ТОП ВОПРОСОВ С СОБЕСОВ
🔒 База собесов | 🔒 База тестовых
Задача: 115. Distinct Subsequences
"Даны две строки s и t. Верните количество различных подпоследовательностей строки s, которые равны строке t.
Тестовые примеры сгенерированы таким образом, что ответ укладывается в 32-битное целое число со знаком."
Пример:
Input: s = "rabbbit", t = "rabbit"
Output: 3
Explanation:
As shown below, there are 3 ways you can generate "rabbit" from s.
rabbbit
rabbbit
rabbbit
var numDistinct = function (s, t) {
let memo = new Map();
function dp(i, j) {
if (i === s.length || j === t.length || s.length - i < t.length - j)
return j === t.length ? 1 : 0;
let key = [i, j].toString();
if (memo.has(key)) return memo.get(key);
let ans = dp(i + 1, j);
if (s[i] === t[j]) ans += dp(i + 1, j + 1);
memo.set(key, ans);
return ans;
}
return dp(0, 0);
};Please open Telegram to view this post
VIEW IN TELEGRAM
👍1
#medium
Задача: 116. Populating Next Right Pointers in Each Node
Вам дано идеальное бинарное дерево, где все листья находятся на одном уровне, и у каждого родителя есть два детей. Бинарное дерево имеет следующее определение:
Заполните каждый указатель
Изначально все указатели
Пример:
👨💻 Алгоритм:
1️⃣ Инициализируйте очередь Q, которую мы будем использовать во время обхода. Существует несколько способов реализации обхода в ширину, особенно когда речь идет о определении уровня конкретного узла. Можно добавлять в очередь пару (узел, уровень), и каждый раз, когда добавляются дети узла, мы добавляем (node.left, parent_level + 1) и (node.right, parent_level + 1). Этот подход не будет очень эффективен для нашего алгоритма, так как нам нужны все узлы на одном уровне, и для этого потребуется еще одна структура данных.
2️⃣ Более эффективный с точки зрения памяти способ разделения узлов одного уровня заключается в использовании некоторой разграничительной метки между уровнями. Обычно мы вставляем в очередь элемент NULL, который отмечает конец предыдущего уровня и начало следующего. Это отличный подход, но он все равно потребует некоторого количества памяти, пропорционально количеству уровней в дереве.
3️⃣ Подход, который мы будем использовать здесь, будет иметь структуру вложенных циклов, чтобы обойти необходимость указателя NULL. По сути, на каждом шаге мы записываем размер очереди, который всегда соответствует всем узлам на определенном уровне. Как только мы узнаем этот размер, мы обрабатываем только это количество элементов и не более. К моменту, когда мы закончим обработку заданного количества элементов, в очереди будут все узлы следующего уровня. Вот псевдокод для этого:
Мы начинаем с добавления корня дерева в очередь. Поскольку на уровне 0 есть только один узел, нам не нужно устанавливать какие-либо соединения, и мы можем перейти к циклу while.
😎 Решение:
🔥 ТОП ВОПРОСОВ С СОБЕСОВ
🔒 База собесов | 🔒 База тестовых
Задача: 116. Populating Next Right Pointers in Each Node
Вам дано идеальное бинарное дерево, где все листья находятся на одном уровне, и у каждого родителя есть два детей. Бинарное дерево имеет следующее определение:
struct Node {
int val;
Node *left;
Node *right;
Node *next;
}Заполните каждый указатель
next так, чтобы он указывал на следующий правый узел. Если следующего правого узла нет, указатель next должен быть установлен в NULL.Изначально все указатели
next установлены в NULL.Пример:
Input: root = [1,2,3,4,5,6,7]
Output: [1,#,2,3,#,4,5,6,7,#]
Explanation: Given the above perfect binary tree (Figure A), your function should populate each next pointer to point to its next right node, just like in Figure B. The serialized output is in level order as connected by the next pointers, with '#' signifying the end of each level.
while (!Q.empty())
{
size = Q.size()
for i in range 0..size
{
node = Q.pop()
Q.push(node.left)
Q.push(node.right)
}
}
Мы начинаем с добавления корня дерева в очередь. Поскольку на уровне 0 есть только один узел, нам не нужно устанавливать какие-либо соединения, и мы можем перейти к циклу while.
var connect = function (root) {
if (root == null) {
return root;
}
let Q = [];
Q.push(root);
while (Q.length > 0) {
let size = Q.length;
for (let i = 0; i < size; i++) {
let node = Q.shift();
if (i < size - 1) {
node.next = Q[0];
}
if (node.left != null) {
Q.push(node.left);
}
if (node.right != null) {
Q.push(node.right);
}
}
}
return root;
};Please open Telegram to view this post
VIEW IN TELEGRAM
👍1🔥1
#medium
Задача: 117. Populating Next Right Pointers in Each Node II
Вам дано бинарное дерево:
Заполните каждый указатель
Изначально все указатели
Пример:
👨💻 Алгоритм:
1️⃣ Инициализируйте очередь Q, которая будет использоваться во время обхода. Существует несколько способов реализации обхода в ширину, особенно когда дело доходит до определения уровня конкретного узла. Можно добавить в очередь пару (узел, уровень), и каждый раз, когда мы добавляем детей узла, мы добавляем (node.left, parent_level+1) и (node.right, parent_level+1). Этот подход может оказаться неэффективным для нашего алгоритма, так как нам нужны все узлы на одном уровне, и потребуется дополнительная структура данных.
2️⃣ Более эффективный с точки зрения памяти способ разделения узлов одного уровня - использовать разграничение между уровнями. Обычно мы вставляем в очередь элемент NULL, который обозначает конец предыдущего уровня и начало следующего. Это отличный подход, но он все равно потребует некоторого объема памяти, пропорционального количеству уровней в дереве.
3️⃣ Подход, который мы будем использовать, предполагает структуру вложенных циклов, чтобы обойти необходимость NULL указателя. По сути, на каждом шаге мы фиксируем размер очереди, который всегда соответствует всем узлам на определенном уровне. Как только мы узнаем этот размер, мы обрабатываем только это количество элементов и больше ничего. К тому времени, как мы закончим обработку заданного количества элементов, в очереди окажутся все узлы следующего уровня. Вот псевдокод для этого:
Мы начинаем с добавления корня дерева в очередь. Так как на уровне 0 есть только один узел, нам не нужно устанавливать какие-либо соединения, и мы можем перейти к циклу while.
😎 Решение:
🔥 ТОП ВОПРОСОВ С СОБЕСОВ
🔒 База собесов | 🔒 База тестовых
Задача: 117. Populating Next Right Pointers in Each Node II
Вам дано бинарное дерево:
struct Node {
int val;
Node *left;
Node *right;
Node *next;
}Заполните каждый указатель
next, чтобы он указывал на следующий правый узел. Если следующего правого узла нет, указатель next должен быть установлен в NULL.Изначально все указатели
next установлены в NULL.Пример:
Input: root = [1,2,3,4,5,null,7]
Output: [1,#,2,3,#,4,5,7,#]
Explanation: Given the above binary tree (Figure A), your function should populate each next pointer to point to its next right node, just like in Figure B. The serialized output is in level order as connected by the next pointers, with '#' signifying the end of each level.
while (!Q.empty())
{
size = Q.size()
for i in range 0..size
{
node = Q.pop()
Q.push(node.left)
Q.push(node.right)
}
}
Мы начинаем с добавления корня дерева в очередь. Так как на уровне 0 есть только один узел, нам не нужно устанавливать какие-либо соединения, и мы можем перейти к циклу while.
var connect = function (root) {
if (!root) return root;
const Q = [];
Q.push(root);
while (Q.length > 0) {
const size = Q.length;
for (let i = 0; i < size; i++) {
const node = Q.shift();
if (i < size - 1) {
node.next = Q[0];
}
if (node.left) Q.push(node.left);
if (node.right) Q.push(node.right);
}
}
return root;
};Please open Telegram to view this post
VIEW IN TELEGRAM
👍1
#easy
Задача: 118. Pascal's Triangle
Дано целое число numRows. Верните первые numRows строк треугольника Паскаля.
В треугольнике Паскаля каждое число является суммой двух чисел, непосредственно расположенных над ним, как показано:
Пример:
👨💻 Алгоритм:
Хотя алгоритм очень простой, итерационный подход к построению треугольника Паскаля можно классифицировать как динамическое программирование, поскольку мы строим каждую строку, опираясь на предыдущую.
Сначала мы создаём общий список треугольника, который будет хранить каждую строку как подсписок. Затем мы проверяем особый случай, когда число строк равно 0, так как в противном случае мы бы вернули [1]. Поскольку numRows всегда больше 0, мы можем инициализировать треугольник первой строкой [1] и продолжить заполнять строки следующим образом:
😎 Решение:
🔥 ТОП ВОПРОСОВ С СОБЕСОВ
🔒 База собесов | 🔒 База тестовых
Задача: 118. Pascal's Triangle
Дано целое число numRows. Верните первые numRows строк треугольника Паскаля.
В треугольнике Паскаля каждое число является суммой двух чисел, непосредственно расположенных над ним, как показано:
Пример:
Input: numRows = 5
Output: [[1],[1,1],[1,2,1],[1,3,3,1],[1,4,6,4,1]]
Хотя алгоритм очень простой, итерационный подход к построению треугольника Паскаля можно классифицировать как динамическое программирование, поскольку мы строим каждую строку, опираясь на предыдущую.
Сначала мы создаём общий список треугольника, который будет хранить каждую строку как подсписок. Затем мы проверяем особый случай, когда число строк равно 0, так как в противном случае мы бы вернули [1]. Поскольку numRows всегда больше 0, мы можем инициализировать треугольник первой строкой [1] и продолжить заполнять строки следующим образом:
var generate = function (numRows) {
const triangle = [];
triangle.push([]);
triangle[0].push(1);
for (let rowNum = 1; rowNum < numRows; rowNum++) {
const row = [];
const prevRow = triangle[rowNum - 1];
row.push(1);
for (let j = 1; j < rowNum; j++) {
row.push(prevRow[j - 1] + prevRow[j]);
}
row.push(1);
triangle.push(row);
}
return triangle;
};Please open Telegram to view this post
VIEW IN TELEGRAM
🔥1
#easy
Задача: 119. Pascal's Triangle ll
Для данного целого числа rowIndex верните rowIndex-ю строку (с индексацией с нуля) треугольника Паскаля.
Пример:
👨💻 Алгоритм:
1️⃣ Давайте представим, что у нас есть функция getNum(rowIndex, colIndex), которая дает нам число с индексом colIndex в строке с индексом rowIndex. Мы могли бы просто построить k-ю строку, повторно вызывая getNum(...) для столбцов от 0 до k.
2️⃣ Мы можем сформулировать нашу интуицию в следующую рекурсию:
getNum(rowIndex, colIndex) = getNum(rowIndex - 1, colIndex - 1) + getNum(rowIndex - 1, colIndex)
3️⃣ Рекурсия заканчивается в некоторых известных базовых случаях:
Первая строка - это просто одинокая 1, то есть getNum(0, ...) = 1
Первое и последнее число каждой строки равно 1, то есть getNum(k, 0) = getNum(k, k) = 1
😎 Решение:
🔥 ТОП ВОПРОСОВ С СОБЕСОВ
🔒 База собесов | 🔒 База тестовых
Задача: 119. Pascal's Triangle ll
Для данного целого числа rowIndex верните rowIndex-ю строку (с индексацией с нуля) треугольника Паскаля.
Пример:
Input: rowIndex = 3
Output: [1,3,3,1]
getNum(rowIndex, colIndex) = getNum(rowIndex - 1, colIndex - 1) + getNum(rowIndex - 1, colIndex)
Первая строка - это просто одинокая 1, то есть getNum(0, ...) = 1
Первое и последнее число каждой строки равно 1, то есть getNum(k, 0) = getNum(k, k) = 1
var getNum = function (row, col) {
if (row === 0 || col === 0 || row === col) {
return 1;
}
return getNum(row - 1, col - 1) + getNum(row - 1, col);
};
var getRow = function (rowIndex) {
let ans = [];
for (let i = 0; i <= rowIndex; i++) {
ans.push(getNum(rowIndex, i));
}
return ans;
};Please open Telegram to view this post
VIEW IN TELEGRAM
🔥2🤔2❤1
#medium
Задача: 120. Triangle
Дан массив в виде треугольника, верните минимальную сумму пути сверху вниз.
На каждом шаге вы можете перейти к соседнему числу в строке ниже. Более формально, если вы находитесь на индексе i в текущей строке, вы можете перейти либо к индексу i, либо к индексу i + 1 в следующей строке.
Пример:
👨💻 Алгоритм:
1️⃣ Простейший способ реализации этого заключается в перезаписи входных данных, то есть в использовании алгоритма "на месте". В подходе 2 мы рассмотрим, как модифицировать алгоритм так, чтобы он не перезаписывал входные данные, но при этом не требовал более чем O(n) дополнительного пространства.
2️⃣ Когда этот алгоритм завершит свою работу, каждая ячейка (строка, столбец) входного треугольника будет перезаписана минимальной суммой пути от (0, 0) (вершины треугольника) до (строка, столбец) включительно.
Совет на собеседовании: Алгоритмы "на месте" перезаписывают входные данные для экономии места, но иногда это может вызвать проблемы. Вот несколько ситуаций, когда алгоритм "на месте" может быть неуместен.
3️⃣ 1. Алгоритму необходимо работать в многопоточной среде, без эксклюзивного доступа к массиву. Другим потокам может потребоваться читать массив тоже, и они могут не ожидать, что он будет изменен.
2. Даже если поток один, или у алгоритма есть эксклюзивный доступ к массиву во время выполнения, массив может потребоваться повторно использовать позже или другим потоком после освобождения блокировки.
😎 Решение:
🔥 ТОП ВОПРОСОВ С СОБЕСОВ
🔒 База собесов | 🔒 База тестовых
Задача: 120. Triangle
Дан массив в виде треугольника, верните минимальную сумму пути сверху вниз.
На каждом шаге вы можете перейти к соседнему числу в строке ниже. Более формально, если вы находитесь на индексе i в текущей строке, вы можете перейти либо к индексу i, либо к индексу i + 1 в следующей строке.
Пример:
Input: triangle = [[2],[3,4],[6,5,7],[4,1,8,3]]
Output: 11
Explanation: The triangle looks like:
2
3 4
6 5 7
4 1 8 3
The minimum path sum from top to bottom is 2 + 3 + 5 + 1 = 11 (underlined above).
Совет на собеседовании: Алгоритмы "на месте" перезаписывают входные данные для экономии места, но иногда это может вызвать проблемы. Вот несколько ситуаций, когда алгоритм "на месте" может быть неуместен.
2. Даже если поток один, или у алгоритма есть эксклюзивный доступ к массиву во время выполнения, массив может потребоваться повторно использовать позже или другим потоком после освобождения блокировки.
var minimumTotal = function (triangle) {
for (let row = 1; row < triangle.length; row++) {
for (let col = 0; col <= row; col++) {
let smallestAbove = Number.MAX_VALUE;
if (col > 0) {
smallestAbove = triangle[row - 1][col - 1];
}
if (col < row) {
smallestAbove = Math.min(smallestAbove, triangle[row - 1][col]);
}
triangle[row][col] += smallestAbove;
}
}
return Math.min(...triangle[triangle.length - 1]);
};Please open Telegram to view this post
VIEW IN TELEGRAM
👍3
#easy
Задача: 121. Best Time to Buy and Sell Stock
Вам дан массив цен, где prices[i] является ценой данной акции в i-й день.
Ваша задача — максимизировать вашу прибыль, выбрав один день для покупки акции и другой день в будущем для ее продажи.
Верните максимальную прибыль, которую вы можете получить от этой операции. Если прибыль получить невозможно, верните 0.
Пример:
👨💻 Алгоритм:
Ключевые моменты на графике — это пики и впадины. Нам нужно найти наибольшую цену после каждой впадины, разница между которыми может быть максимальной прибылью. Мы можем поддерживать две переменные — minprice и maxprofit, соответствующие наименьшей впадине и максимальной прибыли (максимальной разнице между ценой продажи и minprice), полученной на данный момент соответственно.
😎 Решение:
🔥 ТОП ВОПРОСОВ С СОБЕСОВ
🔒 База собесов | 🔒 База тестовых
Задача: 121. Best Time to Buy and Sell Stock
Вам дан массив цен, где prices[i] является ценой данной акции в i-й день.
Ваша задача — максимизировать вашу прибыль, выбрав один день для покупки акции и другой день в будущем для ее продажи.
Верните максимальную прибыль, которую вы можете получить от этой операции. Если прибыль получить невозможно, верните 0.
Пример:
Input: prices = [7,1,5,3,6,4]
Output: 5
Explanation: Buy on day 2 (price = 1) and sell on day 5 (price = 6), profit = 6-1 = 5.
Note that buying on day 2 and selling on day 1 is not allowed because you must buy before you sell.
Ключевые моменты на графике — это пики и впадины. Нам нужно найти наибольшую цену после каждой впадины, разница между которыми может быть максимальной прибылью. Мы можем поддерживать две переменные — minprice и maxprofit, соответствующие наименьшей впадине и максимальной прибыли (максимальной разнице между ценой продажи и minprice), полученной на данный момент соответственно.
var maxProfit = function (prices) {
let minprice = Number.MAX_VALUE;
let maxprofit = 0;
for (let i = 0; i < prices.length; i++) {
if (prices[i] < minprice) minprice = prices[i];
else if (prices[i] - minprice > maxprofit)
maxprofit = prices[i] - minprice;
}
return maxprofit;
};Please open Telegram to view this post
VIEW IN TELEGRAM
👍3🔥2
#medium
Задача: 122. Best Time to Buy and Sell Stock II
Вам дан массив целых чисел prices, где prices[i] — это цена данной акции в i-й день.
Каждый день вы можете решить купить и/или продать акцию. Вы можете держать в руках только одну акцию за раз. Однако вы можете купить её и сразу же продать в тот же день.
Найдите и верните максимальную прибыль, которую вы можете получить.
Пример:
👨💻 Алгоритм:
1️⃣ Предположим, что дан массив:
\[ 7, 1, 5, 3, 6, 4 \]
Если мы изобразим числа данного массива на графике, мы получим: *приложенное изображение*
2️⃣ Анализируя график, мы замечаем, что точки интереса — это последовательные впадины и пики.
Математически говоря:
Общая прибыль = ∑ (высота(пик i) - высота(впадина i))
3️⃣ Ключевой момент заключается в том, что мы должны учитывать каждый пик, следующий сразу за впадиной, чтобы максимизировать прибыль. Если мы пропустим один из пиков (пытаясь получить больше прибыли), мы потеряем прибыль по одной из сделок, что приведет к общей меньшей прибыли.
Например, в вышеуказанном случае, если мы пропустим пик i и впадину j, пытаясь получить больше прибыли, рассматривая точки с большей разницей в высотах, чистая прибыль всегда будет меньше, чем та, которая была бы получена при их учете, поскольку C всегда будет меньше, чем A+B.
😎 Решение:
🔥 ТОП ВОПРОСОВ С СОБЕСОВ
🔒 База собесов | 🔒 База тестовых
Задача: 122. Best Time to Buy and Sell Stock II
Вам дан массив целых чисел prices, где prices[i] — это цена данной акции в i-й день.
Каждый день вы можете решить купить и/или продать акцию. Вы можете держать в руках только одну акцию за раз. Однако вы можете купить её и сразу же продать в тот же день.
Найдите и верните максимальную прибыль, которую вы можете получить.
Пример:
Input: prices = [7,1,5,3,6,4]
Output: 7
Explanation: Buy on day 2 (price = 1) and sell on day 3 (price = 5), profit = 5-1 = 4.
Then buy on day 4 (price = 3) and sell on day 5 (price = 6), profit = 6-3 = 3.
Total profit is 4 + 3 = 7.
\[ 7, 1, 5, 3, 6, 4 \]
Если мы изобразим числа данного массива на графике, мы получим: *приложенное изображение*
Математически говоря:
Общая прибыль = ∑ (высота(пик i) - высота(впадина i))
Например, в вышеуказанном случае, если мы пропустим пик i и впадину j, пытаясь получить больше прибыли, рассматривая точки с большей разницей в высотах, чистая прибыль всегда будет меньше, чем та, которая была бы получена при их учете, поскольку C всегда будет меньше, чем A+B.
var maxProfit = function (prices) {
let i = 0;
let valley = prices[0];
let peak = prices[0];
let maxprofit = 0;
while (i < prices.length - 1) {
while (i < prices.length - 1 && prices[i] >= prices[i + 1]) i++;
valley = prices[i];
while (i < prices.length - 1 && prices[i] <= prices[i + 1]) i++;
peak = prices[i];
maxprofit += peak - valley;
}
return maxprofit;
};Please open Telegram to view this post
VIEW IN TELEGRAM
👍3
#hard
Задача: 124. Binary Tree Maximum Path Sum
Вам дан массив цен, где prices[i] — это цена данной акции в i-й день.
Найдите максимальную прибыль, которую вы можете получить. Вы можете совершить не более двух транзакций.
Обратите внимание: вы не можете участвовать в нескольких транзакциях одновременно (то есть, вы должны продать акцию, прежде чем снова её купить).
Пример:
👨💻 Алгоритм:
1️⃣ Наивная реализация этой идеи заключалась бы в разделении последовательностей на две части и последующем перечислении каждой из подпоследовательностей, хотя это определенно не самое оптимизированное решение.
Для последовательности длиной N у нас было бы N возможных разделений (включая отсутствие разделения), каждый элемент был бы посещен один раз в каждом разделении. В результате общая временная сложность этой наивной реализации составила бы O(N²).
2️⃣ Мы могли бы сделать лучше, чем наивная реализация O(N²). Что касается алгоритмов разделяй и властвуй,
одна из общих техник, которую мы можем применить для оптимизации временной сложности, называется динамическим программированием (DP), где мы меняем менее повторяющиеся вычисления на некоторое дополнительное пространство.
В алгоритмах динамического программирования обычно мы создаем массив одного или двух измерений для сохранения промежуточных оптимальных результатов. В данной задаче мы бы использовали два массива, один массив сохранял бы результаты последовательности слева направо, а другой массив сохранял бы результаты последовательности справа налево. Для удобства мы могли бы назвать это двунаправленным динамическим программированием.
3️⃣ Сначала мы обозначаем последовательность цен как Prices[i], с индексом начиная от 0 до N-1. Затем мы определяем два массива, а именно left_profits[i] и right_profits[i].
Как следует из названия, каждый элемент в массиве left_profits[i] будет содержать максимальную прибыль, которую можно получить от выполнения одной транзакции в левой подпоследовательности цен от индекса ноль до i, (т.е. Prices[0], Prices[1], ... Prices[i]).
Например, для подпоследовательности [7, 1, 5] соответствующий left_profits[2] будет равен 4, что означает покупку по цене 1 и продажу по цене 5.
И каждый элемент в массиве right_profits[i] будет содержать максимальную прибыль, которую можно получить от выполнения одной транзакции в правой подпоследовательности цен от индекса i до N-1, (т.е. Prices[i], Prices[i+1], ... Prices[N-1]).
Например, для правой подпоследовательности [3, 6, 4] соответствующий right_profits[3] будет равен 3, что означает покупку по цене 3 и продажу по цене 6.
Теперь, если мы разделим последовательность цен вокруг элемента с индексом i на две подпоследовательности, с левыми подпоследовательностями как Prices[0], Prices[1], ... Prices[i] и правой подпоследовательностью как Prices[i+1], ... Prices[N-1],
то общая максимальная прибыль, которую мы получим от этого разделения (обозначенная как max_profits[i]), может быть выражена следующим образом:
max_profits[i] = left_profits[i] + right_profits[i+1]
🔥 ТОП ВОПРОСОВ С СОБЕСОВ
🔒 База собесов | 🔒 База тестовых
Задача: 124. Binary Tree Maximum Path Sum
Вам дан массив цен, где prices[i] — это цена данной акции в i-й день.
Найдите максимальную прибыль, которую вы можете получить. Вы можете совершить не более двух транзакций.
Обратите внимание: вы не можете участвовать в нескольких транзакциях одновременно (то есть, вы должны продать акцию, прежде чем снова её купить).
Пример:
Input: prices = [3,3,5,0,0,3,1,4]
Output: 6
Explanation: Buy on day 4 (price = 0) and sell on day 6 (price = 3), profit = 3-0 = 3.
Then buy on day 7 (price = 1) and sell on day 8 (price = 4), profit = 4-1
Для последовательности длиной N у нас было бы N возможных разделений (включая отсутствие разделения), каждый элемент был бы посещен один раз в каждом разделении. В результате общая временная сложность этой наивной реализации составила бы O(N²).
одна из общих техник, которую мы можем применить для оптимизации временной сложности, называется динамическим программированием (DP), где мы меняем менее повторяющиеся вычисления на некоторое дополнительное пространство.
В алгоритмах динамического программирования обычно мы создаем массив одного или двух измерений для сохранения промежуточных оптимальных результатов. В данной задаче мы бы использовали два массива, один массив сохранял бы результаты последовательности слева направо, а другой массив сохранял бы результаты последовательности справа налево. Для удобства мы могли бы назвать это двунаправленным динамическим программированием.
Как следует из названия, каждый элемент в массиве left_profits[i] будет содержать максимальную прибыль, которую можно получить от выполнения одной транзакции в левой подпоследовательности цен от индекса ноль до i, (т.е. Prices[0], Prices[1], ... Prices[i]).
Например, для подпоследовательности [7, 1, 5] соответствующий left_profits[2] будет равен 4, что означает покупку по цене 1 и продажу по цене 5.
И каждый элемент в массиве right_profits[i] будет содержать максимальную прибыль, которую можно получить от выполнения одной транзакции в правой подпоследовательности цен от индекса i до N-1, (т.е. Prices[i], Prices[i+1], ... Prices[N-1]).
Например, для правой подпоследовательности [3, 6, 4] соответствующий right_profits[3] будет равен 3, что означает покупку по цене 3 и продажу по цене 6.
Теперь, если мы разделим последовательность цен вокруг элемента с индексом i на две подпоследовательности, с левыми подпоследовательностями как Prices[0], Prices[1], ... Prices[i] и правой подпоследовательностью как Prices[i+1], ... Prices[N-1],
то общая максимальная прибыль, которую мы получим от этого разделения (обозначенная как max_profits[i]), может быть выражена следующим образом:
max_profits[i] = left_profits[i] + right_profits[i+1]
Please open Telegram to view this post
VIEW IN TELEGRAM
var maxProfit = function (prices) {
if (prices.length <= 1) return 0;
let left_min = prices[0];
let right_max = prices[prices.length - 1];
let length = prices.length;
let left_profits = new Array(length).fill(0);
let right_profits = new Array(length + 1).fill(0);
for (let l = 1; l < length; ++l) {
left_profits[l] = Math.max(left_profits[l - 1], prices[l] - left_min);
left_min = Math.min(left_min, prices[l]);
let r = length - 1 - l;
right_profits[r] = Math.max(
right_profits[r + 1],
right_max - prices[r],
);
right_max = Math.max(right_max, prices[r]);
}
let max_profit = 0;
for (let i = 0; i < length; ++i) {
max_profit = Math.max(
max_profit,
left_profits[i] + right_profits[i + 1],
);
}
return max_profit;
};Please open Telegram to view this post
VIEW IN TELEGRAM
👍2🤔1
#easy
Задача: 125. Valid Palindrome
Фраза является палиндромом, если после преобразования всех заглавных букв в строчные и удаления всех неалфавитно-цифровых символов она читается одинаково как слева направо, так и справа налево. Алфавитно-цифровые символы включают в себя буквы и цифры.
Для данной строки s верните true, если она является палиндромом, и false в противном случае.
Пример:
👨💻 Алгоритм:
1️⃣ Поскольку входная строка содержит символы, которые нам нужно игнорировать при проверке на палиндром, становится трудно определить реальную середину нашего палиндромического ввода.
2️⃣ Вместо того, чтобы двигаться от середины наружу, мы можем двигаться внутрь к середине! Если начать перемещаться внутрь, с обоих концов входной строки, мы можем ожидать увидеть те же символы в том же порядке.
3️⃣ Результирующий алгоритм прост:
1. Установите два указателя, один на каждом конце входной строки.
2. Если ввод является палиндромом, оба указателя должны указывать на эквивалентные символы в любой момент времени.
3. Если это условие не выполняется в какой-либо момент времени, мы прерываемся и возвращаемся раньше.
4. Мы можем просто игнорировать неалфавитно-цифровые символы, продолжая двигаться дальше.
5. Продолжайте перемещение внутрь, пока указатели не встретятся в середине.
😎 Решение:
🔥 ТОП ВОПРОСОВ С СОБЕСОВ
🔒 База собесов | 🔒 База тестовых
Задача: 125. Valid Palindrome
Фраза является палиндромом, если после преобразования всех заглавных букв в строчные и удаления всех неалфавитно-цифровых символов она читается одинаково как слева направо, так и справа налево. Алфавитно-цифровые символы включают в себя буквы и цифры.
Для данной строки s верните true, если она является палиндромом, и false в противном случае.
Пример:
Input: s = "A man, a plan, a canal: Panama"
Output: true
Explanation: "amanaplanacanalpanama" is a palindrome.
1. Установите два указателя, один на каждом конце входной строки.
2. Если ввод является палиндромом, оба указателя должны указывать на эквивалентные символы в любой момент времени.
3. Если это условие не выполняется в какой-либо момент времени, мы прерываемся и возвращаемся раньше.
4. Мы можем просто игнорировать неалфавитно-цифровые символы, продолжая двигаться дальше.
5. Продолжайте перемещение внутрь, пока указатели не встретятся в середине.
var isPalindrome = function (s) {
let i = 0;
let j = s.length - 1;
while (i < j) {
while (i < j && !isLetterOrDigit(s[i])) {
i++;
}
while (i < j && !isLetterOrDigit(s[j])) {
j--;
}
if ((s[i] + "").toLowerCase() !== (s[j] + "").toLowerCase())
return false;
i++;
j--;
}
return true;
};
function isLetterOrDigit(character) {
const charCode = character.charCodeAt();
return (
(charCode >= "a".charCodeAt() && charCode <= "z".charCodeAt()) ||
(charCode >= "A".charCodeAt() && charCode <= "Z".charCodeAt()) ||
(charCode >= "0".charCodeAt() && charCode <= "9".charCodeAt())
);
}Please open Telegram to view this post
VIEW IN TELEGRAM
❤2
#Hard
Задача: 126.Word Ladder II
Последовательность преобразований от слова beginWord до слова endWord с использованием словаря wordList — это последовательность слов beginWord -> s1 -> s2 -> ... -> sk, для которой выполняются следующие условия:
Каждая пара соседних слов отличается ровно одной буквой.
Каждое si для 1 <= i <= k находится в wordList. Отметим, что beginWord не обязательно должно быть в wordList.
sk == endWord.
Для двух слов, beginWord и endWord, и словаря wordList, вернуть все самые короткие последовательности преобразований от beginWord до endWord или пустой список, если такая последовательность не существует. Каждая последовательность должна возвращаться в виде списка слов [beginWord, s1, s2, ..., sk].
Пример:
👨💻 Алгоритм:
1️⃣ Сохранение слов из списка слов (wordList) в хэш-таблицу (unordered set) для эффективного удаления слов в процессе поиска в ширину (BFS).
2️⃣ Выполнение BFS, добавление связей в список смежности (adjList). После завершения уровня удалять посещенные слова из wordList.
3️⃣ Начать с beginWord и отслеживать текущий путь как currPath, просматривать все возможные пути, и когда путь ведет к endWord, сохранять путь в shortestPaths.
😎 Решение:
🔥 ТОП ВОПРОСОВ С СОБЕСОВ
🔒 База собесов | 🔒 База тестовых
Задача: 126.Word Ladder II
Последовательность преобразований от слова beginWord до слова endWord с использованием словаря wordList — это последовательность слов beginWord -> s1 -> s2 -> ... -> sk, для которой выполняются следующие условия:
Каждая пара соседних слов отличается ровно одной буквой.
Каждое si для 1 <= i <= k находится в wordList. Отметим, что beginWord не обязательно должно быть в wordList.
sk == endWord.
Для двух слов, beginWord и endWord, и словаря wordList, вернуть все самые короткие последовательности преобразований от beginWord до endWord или пустой список, если такая последовательность не существует. Каждая последовательность должна возвращаться в виде списка слов [beginWord, s1, s2, ..., sk].
Пример:
Input: beginWord = "hit", endWord = "cog", wordList = ["hot","dot","dog","lot","log","cog"]
Output: [["hit","hot","dot","dog","cog"],["hit","hot","lot","log","cog"]]
Explanation: There are 2 shortest transformation sequences:
"hit" -> "hot" -> "dot" -> "dog" -> "cog"
"hit" -> "hot" -> "lot" -> "log" -> "cog"
var findLadders = function(beginWord, endWord, wordList) {
let adjList = {};
let currPath = [endWord];
let shortestPaths = [];
let wordSet = new Set(wordList);
function findNeighbors(word) {
let neighbors = [];
let charList = Array.from(word);
for (let i = 0; i < charList.length; i++) {
let oldChar = charList[i];
for (let c = 'a'.charCodeAt(0); c <= 'z'.charCodeAt(0); c++) {
if (c !== oldChar.charCodeAt(0)) {
charList[i] = String.fromCharCode(c);
let newWord = charList.join("");
if (wordSet.has(newWord)) neighbors.push(newWord);
}
}
charList[i] = oldChar;
}
return neighbors;
}
function backtrack(source) {
if (source === endWord) {
shortestPaths.push([...currPath].reverse());
return;
}
adjList[source]?.forEach(neighbor => {
currPath.push(neighbor);
backtrack(neighbor);
currPath.pop();
});
}
function bfs() {
let queue = [beginWord];
wordSet.delete(beginWord);
while (queue.length) {
let current = queue.shift();
let neighbors = findNeighbors(current);
neighbors.forEach(neighbor => {
if (!adjList[neighbor]) adjList[neighbor] = [];
adjList[neighbor].push(current);
if (!wordSet.has(neighbor)) {
queue.push(neighbor);
wordSet.delete(neighbor);
}
});
}
}
bfs();
backtrack(beginWord);
return shortestPaths;
};Please open Telegram to view this post
VIEW IN TELEGRAM
❤1
#Hard
Задача: 127. Word Ladder
Секвенция трансформации от слова beginWord к слову endWord с использованием словаря wordList представляет собой последовательность слов beginWord -> s1 -> s2 -> ... -> sk, при которой:
Каждая пара соседних слов отличается ровно одной буквой.
Каждый элемент si для 1 <= i <= k присутствует в wordList. Отметим, что beginWord не обязан быть в wordList.
sk равно endWord.
Для двух слов, beginWord и endWord, и словаря wordList, верните количество слов в кратчайшей секвенции трансформации от beginWord к endWord, или 0, если такая секвенция не существует.
Пример:
👨💻 Алгоритм:
1️⃣ Препроцессинг списка слов: Осуществите препроцессинг заданного списка слов (wordList), чтобы найти все возможные промежуточные состояния слов. Сохраните эти состояния в словаре, где ключом будет промежуточное слово, а значением — список слов, имеющих то же промежуточное состояние.
2️⃣ Использование очереди для обхода: Поместите в очередь кортеж, содержащий
3️⃣ Поиск кратчайшего пути через BFS (обход в ширину): Пока в очереди есть элементы, получите первый элемент очереди. Для каждого слова определите все промежуточные преобразования и проверьте, не являются ли эти преобразования также преобразованиями других слов из списка. Для каждого найденного слова, которое имеет общее промежуточное состояние с текущим словом, добавьте в очередь пару (слово, уровень + 1), где уровень — это уровень текущего слова. Если вы достигли искомого слова, его уровень покажет длину кратчайшей последовательности преобразования.
😎 Решение:
🔥 ТОП ВОПРОСОВ С СОБЕСОВ
🔒 База собесов | 🔒 База тестовых
Задача: 127. Word Ladder
Секвенция трансформации от слова beginWord к слову endWord с использованием словаря wordList представляет собой последовательность слов beginWord -> s1 -> s2 -> ... -> sk, при которой:
Каждая пара соседних слов отличается ровно одной буквой.
Каждый элемент si для 1 <= i <= k присутствует в wordList. Отметим, что beginWord не обязан быть в wordList.
sk равно endWord.
Для двух слов, beginWord и endWord, и словаря wordList, верните количество слов в кратчайшей секвенции трансформации от beginWord к endWord, или 0, если такая секвенция не существует.
Пример:
Input: beginWord = "hit", endWord = "cog", wordList = ["hot","dot","dog","lot","log","cog"]
Output: 5
Explanation: One shortest transformation sequence is "hit" -> "hot" -> "dot" -> "dog" -> cog", which is 5 words long.
beginWord и число 1, где 1 обозначает уровень узла. Вам нужно вернуть уровень узла endWord, так как он будет представлять длину кратчайшей последовательности преобразования. Используйте словарь посещений, чтобы избежать циклов.var ladderLength = function (beginWord, endWord, wordList) {
let L = beginWord.length;
let allComboDict = {};
for (let word of wordList) {
for (let i = 0; i < L; i++) {
let newWord = word.substring(0, i) + "*" + word.substring(i + 1, L);
if (!allComboDict[newWord]) allComboDict[newWord] = [];
allComboDict[newWord].push(word);
}
}
let Q = [[beginWord, 1]];
let visited = { [beginWord]: true };
while (Q.length > 0) {
let node = Q.shift();
let word = node[0];
let level = node[1];
for (let i = 0; i < L; i++) {
let newWord = word.substring(0, i) + "*" + word.substring(i + 1, L);
for (let adjacentWord of allComboDict[newWord] || []) {
if (adjacentWord === endWord) {
return level + 1;
}
if (!visited[adjacentWord]) {
visited[adjacentWord] = true;
Q.push([adjacentWord, level + 1]);
}
}
}
}
return 0;
};Please open Telegram to view this post
VIEW IN TELEGRAM
❤1
#Medium
Задача: 128. Longest Consecutive Sequence
Дан несортированный массив целых чисел nums. Верните длину самой длинной последовательности последовательных элементов.
Необходимо написать алгоритм, который работает за время O(n).
Пример:
👨💻 Алгоритм:
1️⃣ Проверка базового случая:
Перед началом работы проверяем базовый случай с пустым массивом.
Самая длинная последовательность в пустом массиве, очевидно, равна 0, поэтому мы можем просто вернуть это значение.
2️⃣ Обработка чисел в массиве:
Для всех других случаев мы сортируем массив nums и рассматриваем каждое число, начиная со второго (поскольку нам нужно сравнивать каждое число с предыдущим).
Если текущее число и предыдущее равны, то текущая последовательность не удлиняется и не прерывается, поэтому мы просто переходим к следующему числу.
Если числа не равны, то нужно проверить, удлиняет ли текущее число последовательность (т.е. nums[i] == nums[i-1] + 1). Если удлиняет, то мы увеличиваем наш текущий счёт и продолжаем.
3️⃣ Завершение обработки и возврат результата:
В противном случае последовательность прерывается, и мы записываем нашу текущую последовательность и сбрасываем её до 1 (чтобы включить число, которое прервало последовательность).
Возможно, что последний элемент массива nums является частью самой длинной последовательности, поэтому мы возвращаем максимум из текущей последовательности и самой длинной.
😎 Решение:
🔥 ТОП ВОПРОСОВ С СОБЕСОВ
🔒 База собесов | 🔒 База тестовых
Задача: 128. Longest Consecutive Sequence
Дан несортированный массив целых чисел nums. Верните длину самой длинной последовательности последовательных элементов.
Необходимо написать алгоритм, который работает за время O(n).
Пример:
Input: nums = [100,4,200,1,3,2]
Output: 4
Explanation: The longest consecutive elements sequence is [1, 2, 3, 4]. Therefore its length is 4.
Перед началом работы проверяем базовый случай с пустым массивом.
Самая длинная последовательность в пустом массиве, очевидно, равна 0, поэтому мы можем просто вернуть это значение.
Для всех других случаев мы сортируем массив nums и рассматриваем каждое число, начиная со второго (поскольку нам нужно сравнивать каждое число с предыдущим).
Если текущее число и предыдущее равны, то текущая последовательность не удлиняется и не прерывается, поэтому мы просто переходим к следующему числу.
Если числа не равны, то нужно проверить, удлиняет ли текущее число последовательность (т.е. nums[i] == nums[i-1] + 1). Если удлиняет, то мы увеличиваем наш текущий счёт и продолжаем.
В противном случае последовательность прерывается, и мы записываем нашу текущую последовательность и сбрасываем её до 1 (чтобы включить число, которое прервало последовательность).
Возможно, что последний элемент массива nums является частью самой длинной последовательности, поэтому мы возвращаем максимум из текущей последовательности и самой длинной.
var longestConsecutive = function (nums) {
let longestStreak = 0;
for (let num of nums) {
let currentNum = num;
let currentStreak = 1;
while (nums.includes(currentNum + 1)) {
currentNum += 1;
currentStreak += 1;
}
longestStreak = Math.max(longestStreak, currentStreak);
}
return longestStreak;
};Please open Telegram to view this post
VIEW IN TELEGRAM
❤2👍1
#Medium
Задача: 129. Sum Root to Leaf Numbers
Вам дан корень бинарного дерева, содержащего только цифры от 0 до 9.
Каждый путь от корня до листа в дереве представляет собой число.
Например, путь от корня до листа 1 -> 2 -> 3 представляет число 123.
Верните общую сумму всех чисел от корня до листа. Тестовые случаи созданы таким образом, что ответ поместится в 32-битное целое число.
Листовой узел — это узел без детей.
Пример:
👨💻 Алгоритм:
1️⃣ Инициализация:
Создайте переменные для хранения суммы чисел (rootToLeaf) и текущего числа (currNumber), а также стек для обхода дерева, начиная с корневого узла.
2️⃣ Обход дерева:
Используйте стек для глубинного обхода дерева (DFS), обновляя currNumber путём умножения на 10 и добавления значения узла. Для каждого листа добавляйте currNumber к rootToLeaf.
3️⃣ Возвращение результата:
По завершении обхода всех узлов возвращайте rootToLeaf, содержащую сумму всех чисел от корня до листьев дерева.
😎 Решение:
🔥 ТОП ВОПРОСОВ С СОБЕСОВ
🔒 База собесов | 🔒 База тестовых
Задача: 129. Sum Root to Leaf Numbers
Вам дан корень бинарного дерева, содержащего только цифры от 0 до 9.
Каждый путь от корня до листа в дереве представляет собой число.
Например, путь от корня до листа 1 -> 2 -> 3 представляет число 123.
Верните общую сумму всех чисел от корня до листа. Тестовые случаи созданы таким образом, что ответ поместится в 32-битное целое число.
Листовой узел — это узел без детей.
Пример:
Input: root = [1,2,3]
Output: 25
Explanation:
The root-to-leaf path 1->2 represents the number 12.
The root-to-leaf path 1->3 represents the number 13.
Therefore, sum = 12 + 13 = 25.
Создайте переменные для хранения суммы чисел (rootToLeaf) и текущего числа (currNumber), а также стек для обхода дерева, начиная с корневого узла.
Используйте стек для глубинного обхода дерева (DFS), обновляя currNumber путём умножения на 10 и добавления значения узла. Для каждого листа добавляйте currNumber к rootToLeaf.
По завершении обхода всех узлов возвращайте rootToLeaf, содержащую сумму всех чисел от корня до листьев дерева.
function sumNumbers(root, partialSum = 0) {
if (!root) {
return 0;
}
partialSum = partialSum * 10 + root.val;
if (!root.left && !root.right) {
return partialSum;
}
return (
sumNumbers(root.left, partialSum) + sumNumbers(root.right, partialSum)
);
}Please open Telegram to view this post
VIEW IN TELEGRAM
❤1🔥1
#Medium
Задача: 130. Surrounded Regions
Вам дана матрица размером m на n, которая содержит буквы 'X' и 'O'. Захватите регионы, которые окружены:
Соединение: Ячейка соединена с соседними ячейками по горизонтали или вертикали.
Регион: Для формирования региона соедините каждую ячейку 'O'.
Окружение: Регион окружён ячейками 'X', если можно соединить регион с ячейками 'X', и ни одна из ячеек региона не находится на краю доски.
Окруженный регион захватывается путём замены всех 'O' на 'X' в исходной матрице.
Пример:
👨💻 Алгоритм:
1️⃣ Выбор начальных ячеек и инициация DFS:
Начинаем с выбора всех ячеек, расположенных на границах доски.
Затем, начиная с каждой выбранной ячейки на границе, выполняем обход в глубину (DFS).
2️⃣ Логика и выполнение DFS:
Если ячейка на границе оказывается 'O', это означает, что эта ячейка "жива", вместе с другими ячейками 'O', соединёнными с этой граничной ячейкой. Две ячейки считаются соединёнными, если между ними существует путь, состоящий только из букв 'O'.
Цель нашего обхода DFS будет заключаться в том, чтобы отметить все такие связанные ячейки 'O', которые исходят из границы, каким-либо отличительным символом, например, 'E'.
3️⃣ Классификация и финальная обработка ячеек:
После обхода всех граничных ячеек мы получаем три типа ячеек:
Ячейки с буквой 'X': эти ячейки можно считать стеной.
Ячейки с буквой 'O': эти ячейки не затрагиваются в нашем обходе DFS, то есть они не имеют соединения с границей, следовательно, они захвачены. Эти ячейки следует заменить на букву 'X'.
Ячейки с буквой 'E': это ячейки, отмеченные в ходе нашего обхода DFS, то есть ячейки, имеющие хотя бы одно соединение с границами, следовательно, они не захвачены. В результате мы должны вернуть этим ячейкам их исходную букву 'O'.
😎 Решение:
🔥 ТОП ВОПРОСОВ С СОБЕСОВ
🔒 База собесов | 🔒 База тестовых
Задача: 130. Surrounded Regions
Вам дана матрица размером m на n, которая содержит буквы 'X' и 'O'. Захватите регионы, которые окружены:
Соединение: Ячейка соединена с соседними ячейками по горизонтали или вертикали.
Регион: Для формирования региона соедините каждую ячейку 'O'.
Окружение: Регион окружён ячейками 'X', если можно соединить регион с ячейками 'X', и ни одна из ячеек региона не находится на краю доски.
Окруженный регион захватывается путём замены всех 'O' на 'X' в исходной матрице.
Пример:
Input: board = [["X"]]
Output: [["X"]]
Начинаем с выбора всех ячеек, расположенных на границах доски.
Затем, начиная с каждой выбранной ячейки на границе, выполняем обход в глубину (DFS).
Если ячейка на границе оказывается 'O', это означает, что эта ячейка "жива", вместе с другими ячейками 'O', соединёнными с этой граничной ячейкой. Две ячейки считаются соединёнными, если между ними существует путь, состоящий только из букв 'O'.
Цель нашего обхода DFS будет заключаться в том, чтобы отметить все такие связанные ячейки 'O', которые исходят из границы, каким-либо отличительным символом, например, 'E'.
После обхода всех граничных ячеек мы получаем три типа ячеек:
Ячейки с буквой 'X': эти ячейки можно считать стеной.
Ячейки с буквой 'O': эти ячейки не затрагиваются в нашем обходе DFS, то есть они не имеют соединения с границей, следовательно, они захвачены. Эти ячейки следует заменить на букву 'X'.
Ячейки с буквой 'E': это ячейки, отмеченные в ходе нашего обхода DFS, то есть ячейки, имеющие хотя бы одно соединение с границами, следовательно, они не захвачены. В результате мы должны вернуть этим ячейкам их исходную букву 'O'.
var solve = function (board) {
if (board == null || board.length == 0) {
return;
}
let ROWS = board.length;
let COLS = board[0].length;
let borders = [];
for (let r = 0; r < ROWS; ++r) {
borders.push([r, 0]);
borders.push([r, COLS - 1]);
}
for (let c = 0; c < COLS; ++c) {
borders.push([0, c]);
borders.push([ROWS - 1, c]);
}
borders.forEach((pair) => {
dfs(board, pair[0], pair[1]);
});
for (let r = 0; r < ROWS; ++r) {
for (let c = 0; c < COLS; ++c) {
if (board[r][c] == "O") board[r][c] = "X";
if (board[r][c] == "E") board[r][c] = "O";
}
}
function dfs(board, row, col) {
if (board[row][col] != "O") return;
board[row][col] = "E";
if (col < COLS - 1) dfs(board, row, col + 1);
if (row < ROWS - 1) dfs(board, row + 1, col);
if (col > 0) dfs(board, row, col - 1);
if (row > 0) dfs(board, row - 1, col);
}
};Please open Telegram to view this post
VIEW IN TELEGRAM
🔥1